首页
财务会计
医药卫生
金融经济
考公考编
外语考试
学历提升
职称考试
建筑工程
IT考试
其他
登录
财务会计
=( )。
=( )。
书海库
2019-12-17
9
问题
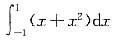
=( )。
选项
A 0B
C
D 1
答案
B
解析
x为奇函数,x2为偶函数,故[-1,1]上[img]/upload/tiku/190/5342691_1.jpg[/img]
转载请注明原文地址:https://ti.zuoweng.com/ti/00olKKKQ
相关试题推荐
下列哪项对哮与喘鉴别诊断无意义
具有祛风胜湿止痛功效的药组是
治疗蛲虫病方剂为
下列腧穴中不是下合穴的是
望神最主要是观察
水肿风水相搏型的治则是
输尿管结石易停留的部位哪项是错误的
镇肝熄风汤中的君药是
能祛风除湿,又可治骨鲠的药物是
郄穴的数目应该是
随机试题
关于缺铁性贫血患儿应用铁剂的护理要点,下列叙述不正确的是
氟利昂技术产生的氯原子会不断分解大气中的臭氧分子而破坏臭氧层,当初提计者并没有考
以一定时期内,同类项目产量最高和最低两个时期的成本数据为样本,通过求出单位变动成
规划咨询发展战略目标研究中环境目标包括()。
关于花境植物质量的要求,以下说法正确的是() A.宿根花齐根系发育良好,
能阻断肾脏受体,使肾素分泌减少、血压降低的药物是() A.普萘洛尔 B.去甲
商业银行使用保证收益理财计划附加条件所产生的投资风险应由( )。A.银行自身承担B.客户承担C.合同中约定方承担D.客户与银行分担
场地类别划分的依据是()。 A.场地土类型和场地覆盖层厚度B.场地土类型和土质相对密度 C.基本烈度和场地覆盖层厚度D.场地土类型和基本烈度
共用题干 某护士在临床带教老师的指导下,正在进行无菌技术操作,其任务是铺无菌盘及戴消毒手套。戴无菌手套时,错误的一项是A:洗手,剪指甲,戴口罩B:核对手套
采用建筑策划定位时,内部条件调查的内容有( )。A:项目总投资B:投资分配比例C:技术手段D:基地内的场地性质E:功能要求