首页
财务会计
医药卫生
金融经济
考公考编
外语考试
学历提升
职称考试
建筑工程
IT考试
其他
登录
职称考试
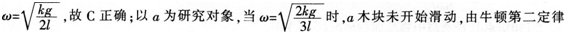
如图,两个质量均为m的小木块a和b(可视为质点)放在水平圆盘上,a与转轴O0’的距离为2,b与转轴的距离为22,木块与圆盘的最大静摩擦力为木块所受重力的k...
如图,两个质量均为m的小木块a和b(可视为质点)放在水平圆盘上,a与转轴O0’的距离为2,b与转轴的距离为22,木块与圆盘的最大静摩擦力为木块所受重力的k...
admin
2020-12-24
5
问题
如图,两个质量均为m的小木块a和b(可视为质点)放在水平圆盘上,a与转轴O0’的距离为2,b与转轴的距离为22,木块与圆盘的最大静摩擦力为木块所受重力的k倍.重力加速度大小为g,若圆盘从静止开始绕转轴缓慢地加速运动,用w表示圆盘转动的角速度,下列说法正确的是( )。
选项
A.a一定比b先开始滑动
B.a、b所受的摩擦力始终相等
答案
C
解析
两个木块的最大静摩擦力相等,木块随圆盘一起转动,静摩擦力提供向心力.由牛顿第二定律得:木块所受的静摩擦力为fmw2r,m、w相等,f0Cr,所以b所受的静摩擦力大于口的静摩擦力,当圆盘的角速度增大时b的静摩擦力先达到最大值,又因为a、b木块的最大静摩擦力相等,所以b一定比a先开始滑动,故A、B错误:当b刚要滑动时.有kmg=mw2.2l,解
得f=mw2l,可解得f=2/3kmg,故D错误。
转载请注明原文地址:https://ti.zuoweng.com/ti/PNt8KKKQ
相关试题推荐
贯彻新发展理念,建设现代化经济体系,必须坚持质量第一、效益优先,以供给侧结构性改革为主线。正确
加强社会治理制度建设,完善党委领导、政府负责、社会协同、公众参与、法治保障的社会治理体制,提高社会治理()水平。 A.社会化B.法治化 C.
提高就业质量和人民收入水平,鼓励勤劳守法致富,就要()。 A.扩大中等收入群体 B.增加低收入者收入 C.调节过高收入 D.取缔非法收入
建设一支()的人民军队,是实现“两个一百年”奋斗目标、实现中华民族伟大复兴的战略支撑。 A.听党指挥B.骁勇善战C.能打胜仗D.作
著名学者彭慕兰认为,与其说工业革命创造了新的财富,不如说新的财富的发现,导致并推动了工业革命,因为工业革命的发生来源于两个方向的驱动:“向下”和“向外”。...
明、清皇帝每年春天都要举行一种祭祀仪式。如图1,从中透出的核心信息是( )。 A.皇室祭祀的隆重排场B.专制君主的权威至上C.以农为本的立国理念D.统
阅读下面材料.回答问题。 美国杜邦公司的历史是两个多世纪以来资本主义经济发展的缩影。 片段一初创 1802年,从法国购进机器,在特拉华州的威尔明顿市...
西周是我国古代哲学发展的一个重要时期,这一时期形成了两个非常重要的哲学观念,一是阴阳说,一是()。A.形而上B.兼爱非攻C.守虚无为D.五行说
材料: 下面是“第一次世界大战”的教学片段。 师:1914--1918年,人类历史上经历了第一次世界大战的浩劫,给人类带来巨大的灾难。如果说那时距离我...
“科教兴国”战略实施以来,我国科技成就突飞猛进,人民生活水平不断提高。能够说明此观点的史实是( )。A.“两弹一星”研制成功、票证制度的实施B.“南优二号”
随机试题
对影像增强器电子透镜的解释,错误的是 A.是一个静电场 B.由光电阴极和阳极
以边际消费倾向递减规律为前提的消费理论是()。
关于市场支配地位,下列哪些说法是正确的?()(2011年)
阑尾炎术后切口感染,脓液黏稠成灰白色,其致病菌是
直接埋地敷设的电缆,应选用()型电缆。
A.残髓炎,重新失活牙髓 B.残髓炎,更换干髓剂 C.残髓炎,改做根管治疗 D.慢性根尖周炎,改做根管治疗 E.慢性根尖周炎,改做塑化治疗A.残髓炎,重
为满足桥面变形要求,伸缩缝通常设置在()。A.两梁端之间B.每隔50m处C.梁端与桥台之间D.桥梁的铰接处E.每隔70m处
张三到红星商场购买了一台冰箱,后发现冰箱质量有问题,遂以违约为由起诉红星商场赔偿,红星商场称,该冰箱是从腾达公司进货,应当由腾达公司承担责任。关于本案,说...
国务院某部拟合并处级内设机构。关于机构合并,下列哪一说法是正确的?A:该部决定,报国务院机构编制管理机关备案B:该部提出方案,报国务院机构编制管理机关批准C
()是理财规划服务合同的核心内容,是约定客户委托理财规划师所在机构所办理事项的具体内容。A:委托事项条款B:当事人条款C:鉴于条款D:理财服务费用条款