首页
财务会计
医药卫生
金融经济
考公考编
外语考试
学历提升
职称考试
建筑工程
IT考试
其他
登录
建筑工程
某110/10kV变电所,两台主变,两回110kV电源进线。110kV主接线为内桥接线,10kV为单母线分段接线(分列运行),电气主接线见图。110kV桥...
某110/10kV变电所,两台主变,两回110kV电源进线。110kV主接线为内桥接线,10kV为单母线分段接线(分列运行),电气主接线见图。110kV桥...
admin
2020-12-24
3
问题
某110/10kV变电所,两台主变,两回110kV电源进线。110kV主接线为内桥接线,10kV为单母线分段接线(分列运行),电气主接线见图。110kV桥开关和10kV分段开关均装设备用电源自动投入装置。系统1和系统2均为无穷大系统。架空线路1长70km,架空线路2长30km。该变电所主变压器负载率不超过60%,系统基准容量为100MV
选项
A。请回答下列问题。
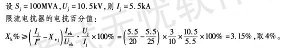
如主变压器10kV回路串联3000A电抗器限制短路电流,若需将10kV母线短路电流从25kA限制到20kA以下,请计算并选择该电抗器的电抗百分值为下列哪项?()
(A)3% (B)4% (C)6% (D)8%
答案
B
解析
《电力工程电气设计手册》(电气一次部分)P253式(6-14)。
注:建议手册中基准电流和电抗器额定电流的单位设置为kA,便于思考与计算。
转载请注明原文地址:https://ti.zuoweng.com/ti/STb0KKKQ
相关试题推荐
气血运行为邪气阻塞,舌色较暗时,多见的舌象表现是A.老舌B.瘦舌C.胖舌D.齿痕舌E.点、刺舌
观苔之剥落的临床意义是A.衡量机体正气盛衰B.了解胃气胃阴之存亡及气血的盛衰C.反映气血运行状况D.反映病位的浅深E.辨病邪的寒热
与血液运行关系密切的脏是A.心、脾、肝、肾B.心、脾、肝、肺C.心、肝、肺、肾D.脾、肺、肾、肝E.心、脾、肺、肾
主要体现在气血运行相关的两脏是A.心与脾B.心与肾C.肾与肝D.肝与肺E.心与肺
下列关于系统中电抗器的描述正确的是()。 (A)—般电缆出线加装电抗器 (B)母线分段电抗器一般只对母线短路起限流作用 (C)分裂电抗器在正常T作与...
按工作可靠性由高到低的次序排列下列()方式正确。 (A)双母线>单母线>单母线分段 (B)3/2接线>双母线>单母线分段 (C)双母线分段>双...
电气主接线设计中的经济性要求指()。 (A)设备故障率低、节省一次投资、使用寿命长、供电质擀商 (B)节省一次投资、占地面积少、电能损耗小、维护费用低...
—台他励直流电动机的数据为:PN=12kW,UN=220V,IN=62A,nN=1340r/min,电枢回路电阻=0.25Ω,电机用在起重机上,以额定运行...
一台并励直流电动机,如果电源电压和负载转矩不变,若减小励磁电流,则稳定运行时()。 (A)电枢电流增加,转速上升(B)电枢电流减小,转速上升 (C)...
如题4-212所述,该电机额定运行时的效率为()。 (A)86.2%(B)87.8%(C)89.4%(D)93.5%
随机试题
承受的房屋附属设施权属单独计价的,应按照()计征契税。 A、与房屋相同的契税税
无黄疸患者血清ALP明显升高,应考虑 A.脂肪肝 B.胆囊炎 C.肝癌
两代生殖毒性试验,从亲代开始染毒,观察至 A.子2代出生 B.子2代断乳
1.110(66)千伏及以上(含城郊区35千伏及以下)客户其它营销业务执行由(
细胞水肿的发生机制主要与下列哪种细胞器的功能障碍有关()。 A.高尔基体 B
商业银行在计量客户违约后的债项违约损失率时,应当包括()。A.损失的时间价值B.未收回的本金C.未收回的利息D.机会成本E.清收费用
一患有门静脉高压症的患者,有食管胃底静脉曲张,伴有脾大、脾亢,肝功能轻度损害。宜选择哪个术式()A.单纯脾切除术B.肠系膜上静脉下腔静脉分流术C.门腔
亲水性生物碱有A.生物碱N-氧化物B.部分小分子生物碱C.酰胺类生物碱D.多数叔胺类生物碱E.季铵型生物碱
协同原则要求房地产经纪信息管理系统的设计,在提供()的平台的基础上,构筑协同办公的平台。A:信息共享B:信息传递C:信息反馈D:信息交流
根据《建筑法》及相关法规,建设单位应当办理施工许可证的工程是()。A.按照国务院规定的程序办理开工报告的工程B.城镇市政基础设施工程C.投资额在100万