首页
财务会计
医药卫生
金融经济
考公考编
外语考试
学历提升
职称考试
建筑工程
IT考试
其他
登录
建筑工程
某风电场升压站的110kV主接线釆用变压器线路组接线,一台主变压器容量为100MVA,主变压器短路阻抗10.5%,110kV配电装置釆用屋外敞开式,升压站...
某风电场升压站的110kV主接线釆用变压器线路组接线,一台主变压器容量为100MVA,主变压器短路阻抗10.5%,110kV配电装置釆用屋外敞开式,升压站...
admin
2020-12-24
7
问题
某风电场升压站的110kV主接线釆用变压器线路组接线,一台主变压器容量为100MVA,主变压器短路阻抗10.5%,110kV配电装置釆用屋外敞开式,升压站地处1000m以下,站区属多雷区。
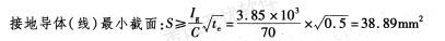
该风场的110kV配电装置接地均压网采用镀锌钢材,试求其最小截面,计算假定条件如下:流过接地线的短路电流稳定值Ijd为3.85kA,短路等效持续时间t为0.5s? ()
(A)38.89mm2 (B)30.25mm2
(C)44.63mm2 (D)22.69mm2
选项
答案
B
解析
《交流电气装置的接地设计规范》(GB/T50065—2011)附录E式(E.0.1)及第4.3.5-3条。
第4.3.5-3条:接地装置接地的截面,不宜小于连接至该接地装置的接地导体(线)截面的75%。 接地均压网的最小截面S≥75%xS=0.75x38.89=29.17mm2,因此,选择最接近的答案为选项B。 注:接地均压网应属于接地装置的接地极。
转载请注明原文地址:https://ti.zuoweng.com/ti/dTb0KKKQ
相关试题推荐
导体的短路发热具有与正常工作发热不同的特点为()。 (A)发热时间短、发热量大 (B)导体可达到稳定温升 (C)由于发热时间短,整个过程导体温升幅度...
下列()为短路发生后的元件电流波形。
为限制短路电流,对于环网系统通常采用下列()方式操作。 (A)在负荷允许前提下,在穿越功率最大处解环 (B)在负荷允许前提下,在穿越功率最小处解环 ...
下列关于系统中电抗器的描述正确的是()。 (A)—般电缆出线加装电抗器 (B)母线分段电抗器一般只对母线短路起限流作用 (C)分裂电抗器在正常T作与...
以下()为有汇流母线系统的工作特点。 (A)易于扩建、配电装罝占地面积大(B)不易扩建、配电装置占地面积小 (C)配电装置占地面积小、易于扩建(D...
电气主接线设计中的灵活性要求指() (A)调度方便、年运行损耗低、使用设备少(B)操作简便、结构合理、检修便捷 (C)操作简便、调度方便、易于扩建(...
电气主接线设计中的经济性要求指()。 (A)设备故障率低、节省一次投资、使用寿命长、供电质擀商 (B)节省一次投资、占地面积少、电能损耗小、维护费用低...
电流互感器的容量通常表示为()。 (A)电流(B)电压(C)VA(D)阻抗
电流互感器二次侧负荷主要包括()。 (A)仪器仪表的阻抗(B)连接电缆的阻抗 (C)仪器仪表和电缆的阻抗(D)仪器仪表、电缆与变压器阻抗
互感器运行时,要求其二次侧()。 (A)电压互感器开路,电流互感器短路(B)电压互感器短路,电流互感器短路 (C)电压互感器短路,电流互感器开路(D)...
随机试题
关于螺旋体,下列何种叙述不正确?() A.行二分裂繁殖 B.具有鞭毛 C.
医疗机构购置、使用不合格或国家有关部门规定淘汰的放射诊疗设备的,由县级以上卫生行
代表确定的指引作用的法律规范有( )。 A.授权性规范 B.命令性规范
需打开Word文档中的一个网站链接,使用功能键正确的是()。 A.CtrlB.ShiftC.FnD.Alt
从年画的艺术形式特点上,可以感受到:饱满的构图、鲜明的形象似乎潜藏有盼望大团圆、祈愿丰收和吃饱饭等意思;挺拔的线条,反映出健康、有力的含义;鲜明的色彩,体...
对于经过限期整改后,仍然不符合为期货公司提供中间介绍业务的证券公司,()有资格撤销其资格。A.中国证监会B.中国证券业协会C.中央国债登记结算有限责任公司
模板及其支架在设计时应考虑的因素主要有()。A.承载能力B.刚度C.稳定性D.强度E.宽度
有根据认为会员或者客户违反期货交易所交易规则及其实施细则并且对市场正在产生或者即将产生重大影响,为防止违规行为后果进一步扩大,期货交易所可以对该会员或者客...
人力资源管理部门与非人力资源管理部门在履行人力资源管理职能方面存在分工,其中由非人力资源管理部门承担的任务是()。A:制定薪酬体系B:拟订人员供需平衡的实施计
下列关于出国留学贷款的说法,正确的有( )。.需要提供一定的担保措施B.贷款对象为留学人员或其直系亲属C.贷款期限一般为l~6年D.贷款到期日时借款人的