首页
财务会计
医药卫生
金融经济
考公考编
外语考试
学历提升
职称考试
建筑工程
IT考试
其他
登录
金融经济
16、
16、
题库总管
2020-05-20
37
问题
16、
选项
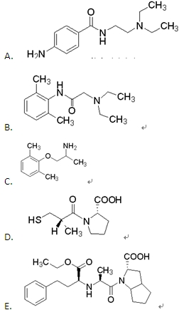
<1>、雷米普利的结构式为
答案
D
解析
转载请注明原文地址:https://ti.zuoweng.com/ti/yhopKKKQ
相关试题推荐
依据《中华人民共和国文物保护法》,建设工程选址中涉及不可移动文物,下列说法正确的
某省一建设工程选址涉及一国家级重点文物保护单位的不可移动文物。依据《中华人民共和
《中华人民共和国文物保护法》对全国重点文物保护单位关于“拆除”的规定是( )。
《中华人民共和国文物保护法》规定,在文物保护单位的建设控制地带内进行建设工程,不
《中华人民共和国文物保护法》规定,在中华人民共和国境内,受国家保护的不可移动的文
根据《中华人民共和国文物保护法》,下列说法中,错误的是( )。[2013年真题
某省一大型水库建设工程选址涉及全国重点文物保护单位,因特殊情况无法对其实施原址保
根据《中华人民共和国文物保护法》,下列说法中,错误的是( )。[2013年真题
某项目需要在M市N县的县级文物保护单位的保护范围进行钻探。依据《中华人民共和国文
根据《中华人民共和国文物保护法》,下列关于建设工程选址中保护文物的说法中,错误的
随机试题
(116-117题共用备选答案) A.志贺痢疾杆菌 B.福氏痢疾杆菌 C.
下列内容属于铁路建设工程承包合同文件组成部分是( )。
依据《证券投资基金法》的规定,基金托管人职责不包括()。
关于公开招标需符合的条件,下列说法不正确的是()。
工程预算成本是反映各地区建筑业的平均成本水平,是( )。 A.确定工程造价
2010年,京津冀经济圈的哪一经济指标值居三大经济圈之首?() A.实际
出生时() A.卡介苗 B.乙型脑炎疫苗 C.麻疹疫苗 D.脊髓灰质炎疫
以下哪种情况在PET诊断肺癌中的假阴性率高A.结节小于7mmB.结节小于8mmC.结节小于9mmD.结节小于10mmE.结节小于11mm
《城市排水工程规划规范》中明确规定,城市排水工程规划的主要内容应包括()A:划定城市排水范围、预测城市排水量B:原则确定处理后污水污泥出路和处理程度C:确定
乡和村庄规划各阶段的主要任务中,各项建设的整体部署不包括()A:集镇布点B:村庄的规模C:生活服务设施的配置D:用地规划