首页
财务会计
医药卫生
金融经济
考公考编
外语考试
学历提升
职称考试
建筑工程
IT考试
其他
登录
建筑工程
吉林省松原市某民用建筑场地地质资料如下: ① 0~5 m粉土,fak=150 kPa,vs1=180 m/s; ② 5~12 m中砂土,f...
吉林省松原市某民用建筑场地地质资料如下: ① 0~5 m粉土,fak=150 kPa,vs1=180 m/s; ② 5~12 m中砂土,f...
admin
2020-12-24
1
问题
吉林省松原市某民用建筑场地地质资料如下:
① 0~5 m粉土,fak=150 kPa,vs1=180 m/s;
② 5~12 m中砂土,fak=200 kPa,vs2=240 m/s;
③ 12~24 m粗砂土,fak=230 kPa,vs3=310 m/s;
④ 24~45 m硬塑黏土,fak=260 kPa,vs4=300 m/s;
⑤45~60 m的泥岩,fak=500 kPa,vsm=520 m/s。
建筑物采用浅基础,埋深2.0 m,地下水位2.0 m,阻尼比为0.05,自震周期为1.8s,该建筑进行抗震设计时:
② 进行第二阶段设计时地震影响系数应取( )。
选项
A 0.15
B 0.20
C 0.23
D 0.25
答案
C
解析
① 判断场地类型。 d0v=45 m,d0=20 m
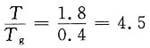
查表4.1.6,场地类别为Ⅱ类。 ② αmax与Tg。 查附录A第A.0.6条,松原市抗震设防烈度为8度,设计基本地震加速度值为0.2g,设计地震分组为第一组 第一阶段设计(多遇地震条件下) αmax=0.16,Tg=0.35 S 第二阶段设计(罕遇地震条件下) αmax=0.90,Tg=0.35+0.05=0.40 S ③ 计算地震影响系数 第一阶段设计(多遇地震条件下)
曲线在直线下降段 α=[0.20.9-0.02(T-5Tg)]αmax=[0.20.9-0.02×(1.8-5×0.35)]× 0.16=0.037≈0.04 第二阶段设计(罕遇地震条件下) Tg<T<5Tg 曲线在曲线下降段
转载请注明原文地址:https://ti.zuoweng.com/ti/1ZeCKKKQ
相关试题推荐
患者,男性,52岁,有明确2型糖尿病、冠心病病史,有长期吸烟史,仍未戒烟,因突发心前区疼痛入院,血液生化检查结果如下:TC4.23mmol/L,TG0.8...
患者,女性,68岁,3年前因急性下侧壁心肌梗死接受PTCA治疗,左心功能正常,无高血压及糖尿病史。其血液生化检查结果如下:TC5.33mmol/L,TG...
男,独坐稳,头围43cm,前囟0.5cm×1.0cm,乳牙2枚。根据以上资料,判断该男婴的可能年龄为()A.5个月B.8个月C.15个月D.3个
经抢救2分钟后患儿出现自主呼吸,心率120次/分,面色转红,肌张力好转,准备转回儿童医院进一步治疗,离开时应携带什么主要资料A、同意转运治疗的签字记录B、母血
某长32m、宽16m的矩形基坑,开挖深度6.0m,地表下为粉土层,总厚度9.5m,下卧隔水层,地下水位潜水,埋深0.5m,拟采用开放式深井降水,潜水含水层...
某高速公路桥梁,单孔跨径150m,基岩场地,区划图上的特征周期Tg=0.35s,结构自振周期T=0.30s,结构的阻尼比ξ=0.05,水平向设计基本地震动...
某建筑场地,地面下为中密中砂,其天然重度为18kN/m3,地基承载力特征值为200kPa,地下水位埋深1.0m,若独立基础尺寸为3m×2m,埋深2m,需进...
某工程地质条件如图所示,拟采用敞口PHC管桩,承台底面位于自然地面下1.5m,桩端进入中粗砂持力层4m,桩外径600mm,壁厚110mm。根据《建筑桩基技...
某抽水试验,场地内深度10.0~18.0m范围内为均质、各向同性等厚、分布面积很大的砂层,其上下均为黏土层,抽水孔孔深20.0m,孔径为200mm,滤水管...
某工程采用深层平板载荷试验确定地基承载力,共进行了S1、S2和S3三个试验点,各试验点数据如下表,请按照《建筑地基基础设计规范》(GB50007—201...
随机试题
地籍调查的基本技术依据包括( )。 A、《全国土地分类》 B、《城镇地籍调
某成衣厂对9名缝纫工进行技术评比,9名工人的得分恰好成等差数列,9人的平均得分是
(139-141题共用备选答案) A.成虫 B.幼虫 C.两者均可 D.
有关泌尿系梗阻的特点,下列错误的是 A.膀胱以上梗阻肾积水进展快 B.膀胱以
181、定期检验时,在保护屏柜的端子排处将所有电流、电压、直流控制回路的端子的外
建设成本,也可以称为(),指的是提供通信服务所用到的通信基础网络设施对应的设备折
某银行于2002年向王先生办理了一笔房贷,合同约定总利息金额为15万元。到2009年时,王先生总计偿还利息4万元,此时王先生请求提前还贷,则银行( )。...
埋深为d的浅基础,基底压应力p与基底附加应力p0存在的大小关系为: A.p>p0B.p=p0C.p0D.p=2p0
路用列车进入封锁区间的行车凭证中应包括列车车次、运行速度、____________、停车时间、到达车站的时刻等有关事项。
做混凝土基础时须按设计图给定的位置选择中心线,中心线左右偏差最大()。A.5mmB.8mmC.10mmD.15mm