首页
财务会计
医药卫生
金融经济
考公考编
外语考试
学历提升
职称考试
建筑工程
IT考试
其他
登录
财务会计
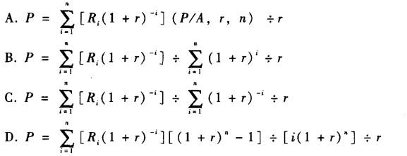
年金法的正确数字表达式是( )。
年金法的正确数字表达式是( )。
题库总管
2020-05-20
6
问题
年金法的正确数字表达式是( )。
选项
答案
C
解析
[img]/upload/tiku/96/247948_1.jpg[/img]
转载请注明原文地址:https://ti.zuoweng.com/ti/1JIEKKKQ
相关试题推荐
问题: 写出传动链的传动路线表达式,并求主轴Ⅲ的可能的转速。
试述数字式频谱分析仪的组成及各组成部分的作用。
某资产年金收益额为8500元,剩余使用年限为20年,假定折现率为10%,其评估值
被估企业所在的行业平均资金收益率为7%,净资产收益率为15%,而被估企业预期年金
被估企业所在的行业平均资金收益率为7%,净资产收益率为15%,而被估企业预期年金
下列有关无形资产分成率的公式中正确的表达式是()。
某资产年金收益额为8500元,剩余使用年限为20年,假定折现率为10%,则其评
工程咨询单位可以通过(),实现对日常行政事务的数字化和网络化管理。
下列有关收人分配效果指标的表达式中,正确的有()
关于增加值表达式正确的是()。
随机试题
风机按气体在旋转叶轮内部流动方向,分为( )。 A.离心式 B.向心式
()损失等于年平均事故发生次数与每次事故的平均损失金额的乘积。 A.最大可能
下列不是PowerPoint视图方式的是( )。 A.大纲视图 B.页面视
Fiveyearsago,DavidSmithworeanexpe
根据《环境影响评价法》,环境影响评价是指对规划和建设项目实施后可能造成的环境影
某患者饮酒后出现上腹剧烈疼痛,伴恶心、呕吐。体检:T38℃,辗转不安,巩膜轻度黄染,血淀粉酶256u,尿淀粉酶512u,此时首要的护理措施是:A.协助病人翻身
某居民企业2011年转让技术所有权收入是2500万元,相关的成本、费用、税金、损失是1775万元,已知该企业无其他纳税调整事项。该企业应缴纳的企业所得税是...
男性,46岁,右季肋部不适、食欲下降2年,腹胀、下肢水肿1个月,近4天来腹痛、发热、腹胀加重。体检:脾肋下2.0cm,移动性浊音(+),Hb72g/L,...
对于一个建设工程项目而言,()是管理的核心。 A.供货方的项目管理 B.施工方的项目管理 C.业主方的项目管理 D.设计方的项目管理
下列不属于常用的风险度量方法的是( )。A.分布图B.期望值C.在险值D.最大可能损失