首页
财务会计
医药卫生
金融经济
考公考编
外语考试
学历提升
职称考试
建筑工程
IT考试
其他
登录
职称考试
A.(-1,1) B.[0,4] C.[0,1) D.[0,1]A.(-1,1) B.[0,4] C.[0,1) D.[0,1]
A.(-1,1) B.[0,4] C.[0,1) D.[0,1]A.(-1,1) B.[0,4] C.[0,1) D.[0,1]
admin
2020-12-24
1
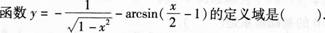
问题
选项
A.(-1,1)
B.[0,4]
C.[0,1)
D.[0,1]
答案
C
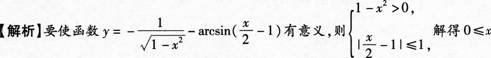
解析
<1,故函数的定义域为[0,1).
转载请注明原文地址:https://ti.zuoweng.com/ti/2rZ8KKKQ
相关试题推荐
学生学习的根本特点是()。 A.接受性B.间接性 C.方向性D.连续性
任务促成的纪律是以个人对任务的()为前提的。 A.圆满完成B.充分理解C.细致分解D.高度概括
经常看到主语在句子的开端部位,因而就认为主语就是句子开端部位的那个词,这属于()。 A.形象概括B.理性概括 C.表象概括D.感性概括
教师职业道德修养的最终目的就是要教师养成良好的()。 A.职业道德信念B.职业道德习惯C.职业道德意志D.职业道德理想
布鲁纳的学习过程的第三个阶段是()。 A.获得B.转化C.同化D.评价
艾宾浩斯遗忘曲线揭示了遗忘过程与()的关系。 A.学习过程B.记忆方法C.记忆材料D.时间
心理评估不但是了解个体()及其行为表现的工具,也是评价()的工具。
准确的示范与讲解有利于学习者不断地调整头脑中的(),形成准确的定向映象。
()指的是个体对自己能否实施某种成就行为的能力的判断,即人对自己行为能力的推测。
斯金纳认为,操作性行为主要受()规律的制约。强化(物)有()与()之分。
随机试题
()负责对实施情况进行监督检查。 A.上级主管单位 B.领导班子 C.行政
百合固金汤制方原理主要涉及 A.滋水涵木 B.培土生金 C.金水相生 D
关于职位说明书的说法,错误的是( )。
为有效降低流动性风险,金融机构资产和负债的分布应当()。
O157:H7在山梨醇麦康培养基上,菌落呈现
脾气虚证与脾阳虚证的共同症状是
6岁女孩,出生后发生呼吸道感染,平时少活动,体检:无发绀,心前区稍隆起,胸骨左
男性,48岁。反复上腹部隐痛,疼痛于进餐后1小时加重,有反酸胃灼热,3天前上述症状加重并伴有腹胀,查体:上腹部压痛。无反跳痛及肌紧张。下列选项中,该患者不会出现
患者女,26岁,右上后牙牙龈肿痛l周,口服消炎药治疗无效。检查:牙体颊侧牙周脓肿形成,叩痛(+)。冷测反应同对照牙,牙周袋8mm。应急处理应是A:局部麻醉下开髓
具有撤销权的当事人自知道或者应当知道撤销事由之日起()内没有行使撤销权,撤销权消灭。A.1年B.3年C.5年D.6个月