首页
财务会计
医药卫生
金融经济
考公考编
外语考试
学历提升
职称考试
建筑工程
IT考试
其他
登录
建筑工程
计箅电流速断保护的灵敏系数为( )。A. 13.2; B. 12. 6; C. 11. 5; D. 10. 9。
计箅电流速断保护的灵敏系数为( )。A. 13.2; B. 12. 6; C. 11. 5; D. 10. 9。
admin
2020-12-24
5
问题
计箅电流速断保护的灵敏系数为( )。
选项
A. 13.2;
B. 12. 6;
C. 11. 5;
D. 10. 9。
答案
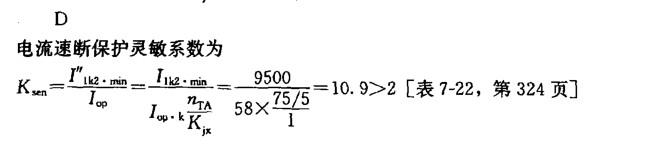
D
解析
转载请注明原文地址:https://ti.zuoweng.com/ti/60b0KKKQ
相关试题推荐
设Zff为短路点输入阻抗,Zjf为j、f之间的转移阻抗,n为网络中节点总数,则下列关于电流分布系数的式子中正确的是()。
如图所示所示,集成运放和模拟乘法器均为理想元件,模拟乘法器的乘积系数K>0。u0应为()。
避雷器保护变压器时规定避雷器距变压器的最大电气距离,其原因是()。A.防止避雷器对变压器反击B.增大配合系数C.减小雷电绕击频率D.满足避雷器残压与变压器
中性点非有效接地配电系统中性点加装消弧线圈是为了()。A.增大系统零序阻抗B.提高继电保护装的灵敏性C.补偿接地短路电流D.增大电源的功率因数
下列叙述正确的是()。A.验算热稳定的短路计算时间为继电保护动作时间与断路器全断开时间之和B.验算热稳定的短路计算时间为继电保护动作时间与断路器固有分闸时间
某220kV变电所一路出线,当有一电流幅值为10kA,陡度为300kV/μs的雷电波侵入,母线上采用10kA雷电保护残压为496kV的金属氧化物,避雷器保...
管阻力的模型实验,原型与模型都用同一种油,几何比尺λ1=2,模型流量中心线流速1m/s,原型中心线流速为()m/s。A.2B.1.5C.1D.
恒定水位柱形滤水器如图6-35所示,已知直径d=1.0m,土样高度h=1.2m,渗透系数k=0.01cm/s,土样上部水深H=0.6m,渗流量Q为(...
普通完整井的出水量()。A.与渗透系数成正比B.与井的半径成正比C.与含水层厚度成反比D.与影响半径成正比
矩形渠道断面宽度4m,水深2m,流量8m3/s,渠底坡度为0.0001,其粗糙系数为()。A.0.005B.0.01C.0.02D.0.04
随机试题
人体红细胞代谢过程中衰老红细胞的破坏部位是 A.骨髓 B.肝脏 C.脾脏
(2)当两种或更多药物混合后,有时出现润湿或液化的现象称为
按照《文物保护法》的规定,以下不属于施工单位在进行工程建设中发现文物应采取措施的
药物从周边室向中央室转运的速率常数为
“朝秦暮楚’,是战国时期人才流动频繁的真实写照,与这一时期有才能的人得以重用有关
Lac阻遏蛋白由A.Z基因编码B.Y基因编码C.A基因编码D.Ⅰ基因编码
从所给的四个选项中,选择最合适的一个填入问号处,使之呈现一定规律性:
可用于治疗绝经期后晚期乳腺癌的药物是A.甲地孕酮B.他莫昔芬C.雌二醇D.米非司酮E.二甲双胍
公路工程竣工验收的主要工作内容包括()A.成立竣工验收委员会B.听取质量监督机构的工作报告及工程质量鉴定报告C.检查工程实体质量、审查有关资料D.检查施工
下列关于资本资产定价模型中β系数的说法,正确的是( )。A.如果β=1,则说明大盘整体上涨10%时,该只股票的报酬率保持不变B.如果β=1.4,则说明大盘整体