首页
财务会计
医药卫生
金融经济
考公考编
外语考试
学历提升
职称考试
建筑工程
IT考试
其他
登录
建筑工程
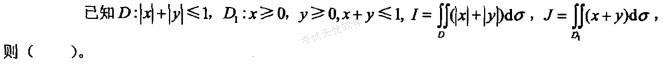
A. I=J B. I = 2J C. I = 3J D. I = 4JA. I=J B. I = 2J C. I = 3J D. I = 4J
A. I=J B. I = 2J C. I = 3J D. I = 4JA. I=J B. I = 2J C. I = 3J D. I = 4J
admin
2020-12-24
5
问题
选项
A. I=J
B. I = 2J
C. I = 3J
D. I = 4J
答案
D
解析
提示:I中积分区域关于x轴和y轴都对称,被积函数关于x和y为偶函数,I=4J。
转载请注明原文地址:https://ti.zuoweng.com/ti/6aK8KKKQ
相关试题推荐
急性血源性骨髓炎最多见的致病菌是A.溶血性链球菌B.流感嗜血杆菌C.白色念珠菌D.产气荚膜杆菌E.金黄色葡萄球菌
易在碱性尿液中形成的结石是A.草酸钙结石B.尿酸钙结石C.磷酸钙结石D.碳酸钙结石E.胱氨酸钙结石
引起小儿秋季腹泻常见的病原体是A.空肠弯曲菌B.大肠埃希菌C.埃可病毒D.轮状病毒E.柯萨奇病毒
区分内痔与外寿的解剖结构是A.肛窦B.齿状线C.肛柱上端D.肛管内括约肌E.肛管外括约肌
最能提示急性胰腺炎的化验结果是A.低血磷B.低血钙C.白细胞计数明显增高D.低血糖E.血清淀粉酶显著増高
胆绞痛病人禁用吗啡的原因是A.易成瘾B.抑制呼吸C.加重疼痛D.镇痛强烈E.掩盖病情
可在口腔部位测量体温的患者是A.腹泻患儿B.支气管哮喘发作患者C.昏迷者D.寿疮术后患者E.精神病患者
低分子右旋糖酐治疗血栓闭塞性脉管炎的主要机制是A.扩张小动脉B.扩张小静脉C.扩充血容量D.修复血管内膜E.降低血液黏稠
输卵管妊娠最常见的着床部位是A.伞部B.壶腹部C.峡部D.间质部E.壶腹部与峡部连接
最容易发生压疮的人群是A.肥胖患者B.高热患者C.全身瘫痪患者D.糖尿病患者E.老年痴呆患者
随机试题
在全面实施素质教育的要求下,怎样评价学生的优、良、中、差呢?为此,我制定了这样的
50MW、10.5kV、cosφ=0.8的发电机定子绕组过负荷的整定。 定时
根据《标准施工招标文件》,下列关于合同附件格式说法正确的有( )。
《最高人民法院关于适用若干问题的解释》第115条规定:“当事人约定以交付定金作为
监理工程师应对施工单位管理人员和作业人员安全教育培训制度落实情况进行审查。施工单位法定代表人、生产经营负责人、项目经理每年接受安全培训的时间不得少于()。A.8
≥60,维护系数0.7,回答下列问题。 该场所的室形指数(RI)为().A.1.85;B.1.95;C.2.0;D.2.1。
属于大环内酯类抗生素的是( )A.红霉素B.四环素C.青霉素D.庆大霉素E.链霉素
张某是甲期货公司的副总经理,李某是该公司的客户。甲期货公司措派张某为李某提供交易服务。后张某离职到了乙期货公司工作,但甲期货公司和张某都没有将此情况告知李...
企业联盟有若干种组织运行模式,垂直供应链型企业宜采用的组织模式是()。A.星形模式B.链形模式C.平行模式D.联邦模式
下列财产中,不得抵押的有()。A:宅基地B:土地所有权C:集体土地使用权D:乡镇企业厂房E:村企业厂房