知识宝藏-WellCMS
  •  首页
  •  财务会计
  •  医药卫生
  •  金融经济
  •  考公考编
  •  外语考试
  •  学历提升
  •  职称考试
  •  建筑工程
  •  IT考试
  •  其他
  •  登录
  1. 建筑工程
  2. A. 9.09kA; B. !0.91kA; C 16. 67kA; D. 17. 27kA,A. 9.09kA; B. !0.91kA; C 16. 67kA

A. 9.09kA; B. !0.91kA; C 16. 67kA; D. 17. 27kA,A. 9.09kA; B. !0.91kA; C 16. 67kA

admin2020-12-24  5

问题

选项 A. 9.09kA; B. !0.91kA; C 16. 67kA; D. 17. 27kA,

答案A

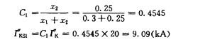
解析
转载请注明原文地址:https://ti.zuoweng.com/ti/7y60KKKQ
相关试题推荐
    随机试题
    • 《中华人民共和国药品管理法》规定,已被撤销批准文号的药品 A.按假药处理 B

    • 维持细胞固有外形的主要结构是 A.细胞壁 B.细胞膜 C.荚膜 D.中介

    • 下列关于或有负债和或有资产说法不正确的有()。

    • 医务社会工作者发现,许多唇腭裂患儿渴望与同伴玩耍,但家长大多因担心孩子被别人嘲笑

    • 时间知觉的线索包括()。多选

    • 钢的退火工艺包括()。

    • 下列各项中,不应列示在资产负债表中流动资产部分的是()。

    • 关于资金时间价值的成因,下列说法正确的有()。

    • 肝火上炎证与肝阳上亢证的共见症状是

    • 市场经济中,市场经济微观基础最重要的组成部分是()。A.消费者B.企业C.政府D.买卖行为

    CopyRight © 2022 All Rights Reserved 鲁ICP备17016787号-14
    Processed: 0.024, SQL: 4