首页
财务会计
医药卫生
金融经济
考公考编
外语考试
学历提升
职称考试
建筑工程
IT考试
其他
登录
建筑工程
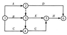
在下列双代号网络图中,互为平行工作的有()A:工作A和工作B B:工作A和工作E C:工作A和工作G D:工作B和工作G E:工作B和工作C
在下列双代号网络图中,互为平行工作的有()A:工作A和工作B B:工作A和工作E C:工作A和工作G D:工作B和工作G E:工作B和工作C
admin
2020-12-24
6
问题
在下列双代号网络图中,互为平行工作的有()
选项
A:工作A和工作B
B:工作A和工作E
C:工作A和工作G
D:工作B和工作G
E:工作B和工作C
答案
AE
解析
在网络图中,相对于某工作而言,可以与该工作同时进行的工作即为该工作的平行工作。
转载请注明原文地址:https://ti.zuoweng.com/ti/AztaKKKQ
相关试题推荐
建设工程平行承发包模式的缺点是( )。A.建设周期较长B.工程造价控制难度大C.进度控制难度大D.质量控制难度大
监理工作规范化、制度化、科学化要求监理规划在编写时,( )。A.内容应具有针对性、指导性和可操作性B.应把握工程项目运行脉搏C.表达方式应当标准化、格式化
监理工作方法及措施中,根据措施实施时间不同,可将监理工作措施分为( )。A.事前控制、事中控制、事后控制B.前馈控制、反馈控制C.开环控制、闭环控制D.
按建设工程实施全过程内在逻辑关系制成流程图,针对流程图中的关键环节和薄弱环节进行调查和分析,找出风险存在的原因,从中发现潜在的风险威胁,分析风险发生后可能...
项目监理机构内部工作制度中的工作会议制度包括( )。A.监理交底会议B.监理协调会议C.监理例会D.监理专题会E.监理工作会议
旁站监理人员的工作内容和职责有( )。A.确定工程的开工时间和结束时间B.检查施工企业现场质检人员到岗情况C.核查进场建筑材料、建筑构配件等的质量检验
建设工程监理招标准备工作包括( )。A.确定招标组织B.明确招标范围C.明确招标内容D.编制招标方案E.发出招标公告
监理实施细则中,监理工作涉及的流程包括( )。A.开工审核工作流程B.施工质量控制流程C.监理规划编制流程D.工程质量问题处理审核流程E.隐蔽
根据《建设工程监理规范》,总监理工程师不得委托给总监理工程师代表的工作有( )。A.组织编制监理规划B.根据工程进展及监理工作情况调配监理人员C.审查和处
《建设工程安全生产管理条例》规定,建设工程施工前,施工单位负责项目管理的技术人员应当对有关安全施工的技术要求向( )作出详细说明。A.监理工程师B.施工作
随机试题
(44-45题共用备选答案) A.肾虚气喘证 B.阴虚火旺证 C.肾阴虚证
行医中反对“按寸不及尺,握手不及足”“相对斯须,便处汤药”的草率作风出自 A.
考虑了资金时间价值的指标有()。
“儿童中心主义”违背了()
给水排水管道功能性试验时,试验段的划分应符合的要求中不正确的是()。 A.无压
有薪节假属于()。A.社会保险福利B.经济性福利C.非经济性福利D.津贴和补贴
用于维生素C缺乏时检查指标A.暗适应B.碱性磷酸酶活性C.毛细血管脆性D.血液丙酮的含量E.以上均是
应当直接配送第二类疫苗的是A.省级疾病预防控制机构B.县级疾病预防控制机构C.市级疾病预防控制机构D.疫苗生产企业
导致中国社会空间结构变化原因有如下()方面。A:血统原则、财产原则、成就原则B:进步的社会变迁C:加入WTO组织对中国的影响D:精英选择
统计表的组成部分包括()。A:行标题B:列标题C:数字资料D:备注说明E:表头