首页
财务会计
医药卫生
金融经济
考公考编
外语考试
学历提升
职称考试
建筑工程
IT考试
其他
登录
金融经济
下列结构是 A.盐酸普鲁卡因 B.盐酸利多卡因 C.盐酸氯胺酮 D.
下列结构是 A.盐酸普鲁卡因 B.盐酸利多卡因 C.盐酸氯胺酮 D.
天天题库
2020-05-20
6
问题
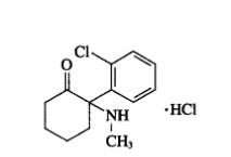
下列结构是
A.盐酸普鲁卡因B.盐酸利多卡因C.盐酸氯胺酮D.盐酸丁卡因E.盐酸普鲁卡因胺
选项
答案
C
解析
转载请注明原文地址:https://ti.zuoweng.com/ti/EaHdKKKQ
相关试题推荐
(78-80题共用备选答案) A.输卵管结构异常或输卵管非特异性炎症 B.阴
(34-35题共用备选答案) A.利多卡因 B.丁哌卡因 C.丁卡因 D
精索套式封闭麻醉的常用剂量是每侧输精管注射 A.1%利多卡因10ml B.1
57.麻醉操作和局部麻醉药的使用上有何不妥 A.麻醉操作在C4横突位置一针法阻滞右侧颈浅丛+深丛和左侧颈浅丛 B.所用局麻药物为1%利多卡因+0.3%丁哌卡
71.该患者予顺序静注2%利多卡因2ml、芬太尼0.2mg、丙泊酚100mg、罗库 溴铵40mg麻醉诱导,顺利插管后发现HR125次/分,BP90/60mmH
121.下述药物能透过胎盘对胎儿产生中枢抑制作用的是 A.吗啡 B.瑞芬太尼 C.硫酸镁 D.安定 E.维库溴铵 F.利多卡因ABD吗啡、瑞芬太尼、
(24-28题共用备选答案) A.氧化亚氮 B.氯胺酮 C.乙醚 D.硫
(76-78题共用题干) 患儿,女,3岁,10kg,先天性髋脱位,在氯胺酮基础
(92-93题共用备选答案) A.提高银汞合金压缩强度 B.使合金结构紧密,
(117-121题共用备选答案) A.5号半注射针 B.1%利多卡因或1%普
随机试题
关节结核的好发部位是 A.肘关节 B.腕关节 C.膝关节 D.髋关节
临床上不把保泰松作为抗风湿首选药,是因为()。 A.保泰松抗风湿作用较弱 B
患者,女性,38岁,反复间歇性水肿5年伴恶心、呕吐1周。血压155/110mm
香豆素类成分的母核是 A.苯骈-α-吡喃酮 B.苯骈-β-吡喃酮 C.苯骈
某钢结构办公楼,结构布置如图3-9所示。框架梁、柱采用Q345,次梁、中心支撑、
某区政府拟将区民政局与区人力资源和社会保障局合并为一个工作部门。下列说法正确的是
有关切牙乳头的叙述,下列哪项是错误的() A.深面为切牙孔B.麻醉时应从切牙乳头正中刺入粘膜C.其组织致密,神经丰富D.位于上颌中切牙之腭侧
带煤气作业的照明应在( )m以外使用投光器。A.30B.20C.10D.5
张某以贷款方式购买住房,贷款期限为3年,年利率为6%,按月计息,则贷款的实际年利率为( )。A:6.00%B:6.17%C:6.37%D:6.56%
在工程进度受阻时,应分析是否存在施工技术的影响因素,为实现进度目标有无改变()的可能性。A.施工人员B.施工技术C.施工方法D.施工机械E.信息处理技术