首页
财务会计
医药卫生
金融经济
考公考编
外语考试
学历提升
职称考试
建筑工程
IT考试
其他
登录
建筑工程
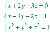
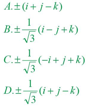
设α=i+2j+3k,β=i-3j-2k,与α、β都垂直的单位向量为()。
设α=i+2j+3k,β=i-3j-2k,与α、β都垂直的单位向量为()。
admin
2020-12-24
0
问题
设α=i+2j+3k,β=i-3j-2k,与α、β都垂直的单位向量为()。
选项
答案
D
解析
根据题意,先将向量表示为点:α(1, 2, 3), β= (1, -3, -2);设与它们垂直的单位向量为
,则有
解得,
,表示成单位向量为:
。
转载请注明原文地址:https://ti.zuoweng.com/ti/FE60KKKQ
相关试题推荐
建筑工程的()应当进守建筑节能标准。A.建设、设计、施工和监理单位B.建设单位C.设计单位D.施工和监理单位
两种摩尔质量不同的理想气体,它们的压强、温度相同,体积不同,则它们的()。A.单位体积内的分子数不同B.单位体积内气体的质量相同C.单位体积内气体分子的总
《安全生产法》对安全生产危险性较大的行业进行了规定,“矿山、建筑施工单位和危险物品的生产、经营、储存单位,应当()。”A.配备兼职安全生产管理人员B.设置
设直线的方程为,则直线()。A.过点(1,-1,0),方向向量为2i+j-kB.过点(1,-1,0),方向向量为2i-j+kC.过点(-1,1,0),方向向
施工单位由于现场空间狭小,将雇佣来的农民工的集体宿舍安排在了一栋还没有竣工的楼房里,这种行为()。A.如果施工单位同时采取了安全防护措施,就没有违反《建设工
设α、β、γ均为三维列向量,以这三个向量为列构成的3阶方阵记为A,即A=(αβγ)。若α、β、γ所组成的向量组线性相关,则A的值是()。A.大于0B.等
设平面π的方程为2x-2y+3=0,以下选项中错误的是()。A.平面π的法向量为i-jB.平面π垂直于z轴C.平面π平行于z轴D.平面π与xOy面的
下列选项中,不符合《建设工程安全生产管理条例》关于机械设备、施工机具和配件出租单位安全责任规定的项目是()。A.出租的机械设备和施工工具及配件,应当具有生产
负有安全生产监督管理职责的部门依法对生产经营单位执行有关安全生产的法律、法规、国家标准或者行业标准的情况进行监督检查的职权不包括()。A.对生产经营单位检查
设α、β、γ、δ是维向量,已知α、β线性无关,γ可以由α、β线性表示,δ不能由α、β线性表示,则以下选项正确的是()。A.α、β、γ、δ线性无关B.α
随机试题
投资组合理论所做出的减少风险的方法可以使投资组合变成毫无风险。()
用人单位应当对劳动者进行劳动防护用品的专业知识培训,使劳动者做到()。
酶是由活细胞产生的。下列关于酶的论述中,都正确的一组是( )。 ①酶是一类
下列关于强制拍卖的表述,正确的有( )。
关于妇女的婚姻家庭权利,下列表述不正确的是()。
男性,36岁,头昏,乏力3年,血压21.3/13.3?kPa(160/100?m
工程设计单位可以指定()的建筑材料供应商。
下面的对联所描述的历史人物是()。 两表酬三顾,一对足千秋。
煤矿井下采煤工段防尘的主要措施是A.加强通风B.配戴防尘口罩C.湿式作业D.测定粉尘的浓度E.密闭尘源
治疗醛固酮升高引起的顽固性水肿的药物是A.螺内酯B.甘露醇C.氨苯蝶啶D.呋塞米E.阿米洛利