首页
财务会计
医药卫生
金融经济
考公考编
外语考试
学历提升
职称考试
建筑工程
IT考试
其他
登录
财务会计
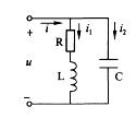
图示电路中,u=10sin(1000t+30°)V,如果使用相量法求解图示电路中
图示电路中,u=10sin(1000t+30°)V,如果使用相量法求解图示电路中
恬恬
2019-12-17
12
问题
图示电路中,u=10sin(1000t+30°)V,如果使用相量法求解图示电路中的电流i,那么,如下步骤中存在错误的是:
选项
A.仅步骤1和步骤2错B.仅步骤2错C.步骤1、步骤2和步骤4错D.仅步骤4错
答案
C
解析
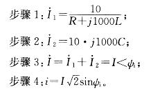
[img]/upload/tiku/233/2659308_1.jpg[/img]
转载请注明原文地址:https://ti.zuoweng.com/ti/JIHNKKKQ
相关试题推荐
B解该电路这异或门电路,逻辑关系为
运算放大器应用电路如图所示,在运算放大器线性工作区,输出电压与输入电压之间的运算
图示单管放大电路中,设晶体管工作于线性区,此时,该电路的电压放大倍数为:
C解该题可以用复数符号法分析,画出电路的复电路模型如解图所示,计算如下。
图示电路具有:
运算放大器应用电路如图所示,在运算放大器线性工作区,输出电压与输入电压之间的运算
A根据放大电路的输出特征曲线分析可知,该反相放大电路出现了饱和失真,静态工作点对应的基极电流过大,可以加大电阻的数值。
A该电路为时序逻辑电路,具有移位、存储功能,两个脉冲过后的新状态为Q1Q0=00 答案:A
电路如图所示,D为理想二极管,ui=6sinωt(V),则输出电压的最大值U0M
图a)所示电路的激励电压如图b)所示,那么,从t=0时刻开始,电路出现暂态过程的
随机试题
设置和登记账簿的意义主要表现在( )。 A.提供全面的会计信息 B.便于会
工程设计概算、施工图预算的审查内容有( )。 A、编制依据是否准确 B、审查
变电站异常及故障处理,涉及站用电源消失、系统失去中性点时,应根据运维班长指令倒换
公司制企业有明晰的产权关系,其中对全部法人财产依法拥有独立支配权力的主体是(
制备水溶性滴丸时用的冷凝液为
牵引缓冲装置有()等作用。A.连接B.牵引C.缓冲D.减速
“心理相容”是良好师生关系特征中师生之间的( )方面表现。A.群体关系B.人际关系C.心理关系D.工作关系
为制备良好的血涂片,采用大血滴、大角度、快推用于A:贫血患者B:高黏血症患者C:血细胞比容高患者D:先天性心脏病患者E:肺气肿
用吸附柱色谱分离游离羟基蒽醌衍生物,常用的吸附剂不包括A:氧化铝B:聚酰胺C:硅胶D:大孔吸附树脂E:硅藻土
甲企业2019年年初房产原值4000万元,其中厂房原值2500万元,办公楼原值1400万元,厂办学校原值100万元,该企业2019年发生下列业务: (1...