首页
财务会计
医药卫生
金融经济
考公考编
外语考试
学历提升
职称考试
建筑工程
IT考试
其他
登录
财务会计
以下哪个结构所示物是神经氨酸酶抑制剂
以下哪个结构所示物是神经氨酸酶抑制剂
tikufree
2019-12-17
7
问题
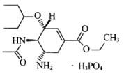
以下哪个结构所示物是神经氨酸酶抑制剂
选项
A:
B:
C:
D:
E:
答案
C
解析
结构式A~E依次是膦甲酸钠、金刚烷胺、奥司他韦、金刚乙胺、奈韦拉平。本题考点是药物结构及作用机制,C奥司他韦的作用机制是抑制神经氨酸酶。
转载请注明原文地址:https://ti.zuoweng.com/ti/Pe0fKKKQ
相关试题推荐
连续梁桥桥跨结构相邻两个支座中心之间的距离为( )。 A、净跨径 B、计
梁作为承重结构以它的抗弯能力来承受荷载的桥梁是( )。 A、梁式桥 B、
由于放样错误,导致桥梁跨径较设计增加50cm,经论证后,将上部结构的方式进行了改
梁桥上部结构逐孔施工的方法有( )。 A、移动模架法 B
涉及结构安全的机电工程其合格率为( )。 A、不得低于90% B、不低于
拱式体系的主要承重结构是( )。 A、拱箱 B、拱肋 C、腹板
因改建、扩建和重要部位维修而改变结构和平面布置的工程,建设单位应当组织设计、施工
( )适用于现浇混凝土结构中竖向或斜向(倾斜度在4:1范围内)钢筋的连接。
根据《建筑结构可靠度设计统一标准》(GB50068—2001),普通房屋的设计使
直接承受动力荷载的钢筋混凝土结构构件,其纵向钢筋连接应优先采用( )。 A、
随机试题
甲、乙是兄弟,母亲丙早年去世,父亲丁将两人抚养长大,甲在外地工作,乙和丁生活在一
关于我国的军衔制度,下列说法正确的是( )。
在施工进度计划实施过程中,应有序进行下列工作:①跟踪检查,收集实际进度数据;②;
人进行生活、学习、工作的最基本的心理基础是()。
维新派与顽固派争论的焦点不包括()。A.要不要实行维新变法B.要不要实行君主立宪制C.要不要变革封建的教育制度D.要不要废除帝制
截面面积为A的等截面直杆,受轴向拉力作用。杆件的原始材料为低碳钢,若将材料改为木材,其他条件不变,下列结论中正确的是:A.正应力增大,轴向变形增大B.正应力
抑制细菌依赖DNA的RNA聚合酶(DDRP)的药物A.环丙沙星B.氟康唑C.异烟肼D.阿昔洛韦E.利福平
财政的()是指税收的征纳是无偿的,即每一个纳税人都无权要求从公共支出中享受与其纳税额等值的福利。A:偿还性B:无偿还性C:无直接偿还性D:强制性
实现产品差别化的方法主要有()。A:商品主体差别化B:地域差别化C:价格差别化D:渠道差别化E:品牌差别化
中国银监会的监管理念是()。A、管业务、管风险、管内控B、管法人、管风险、管市场C、管业务、管风险、管市场D、管法人、管风险、管内控