首页
财务会计
医药卫生
金融经济
考公考编
外语考试
学历提升
职称考试
建筑工程
IT考试
其他
登录
金融经济
抗菌药物连续反复使用,病原微生物对其敏感性会减弱,产生抗药性。抗菌药物的合理应用
抗菌药物连续反复使用,病原微生物对其敏感性会减弱,产生抗药性。抗菌药物的合理应用
tikufree
2019-12-17
5
问题
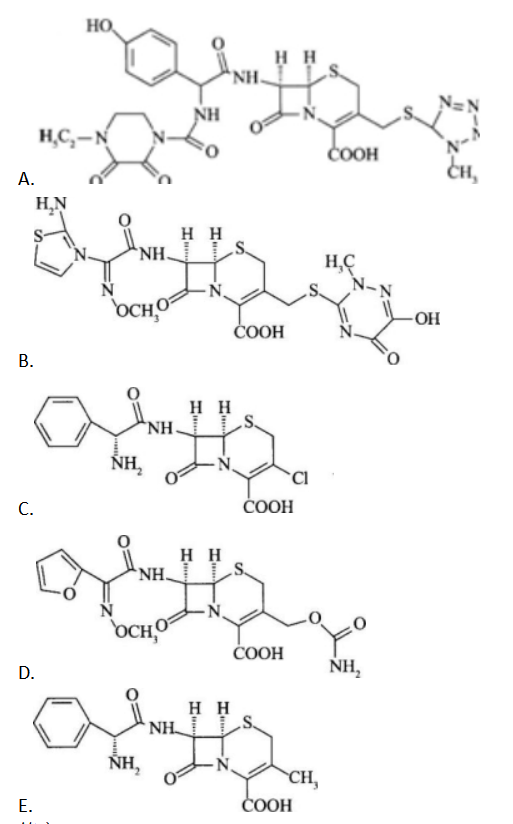
抗菌药物连续反复使用,病原微生物对其敏感性会减弱,产生抗药性。抗菌药物的合理应用已成为全世界的共识。为此,药物学家在不断开发研究,以消除或延缓抗菌药物耐药性的发生。第三代的头孢菌素类药物在7位的氨基侧链上以2-氨基噻唑-α-甲氧亚氨基乙酰基居多,对多数β-内酰胺酶高度稳定,抗菌谱更广,以钠盐的形式注射给药,可广泛分布全身组织和体液,可以通过脑膜,在脑脊液中达到治疗浓度的第三代的头孢菌素药物的是
选项
答案
B
解析
本组题考查的是β-内酰胺酶抑制剂的结构特征及作用特点。第三代头孢菌素类药物在7位的氨基侧链上以2-氨基噻唑-α-甲氧亚氨基乙酰基居多,对多数β-内酰胺酶高度稳定,抗菌谱更广。头孢曲松以钠盐的形式注射给药,可广泛分布全身组织和体液,可以通过脑膜,在脑脊液中达到治疗浓度。
转载请注明原文地址:https://ti.zuoweng.com/ti/QPTEKKKQ
相关试题推荐
某投资方案单因素敏感性分析如下图所示,图中表明的正确结论有()。
为了实现工程造价的模拟计算和动态控制,可应用建筑信息模型(BIM)技术,在包含进
应用直方图法分析工程质量状况时,直方图出现双峰型分布的原因是()。
应用价值工程进行功能评价时,如果评价对象的价值指数VI<1,则( )。
价值工程应用中,采用0-1评分法确定的产品各部件功能得分见下表,则部件Ⅱ的功能
某建设项目以财务净现值为指标进行敏感性分析的有关数据如下表所示(单位:万元),则
在实际应用催收评分时,对于不同的客户情况,下面说法错误的是()。
假设某商业银行存在负债敏感性缺口,此时市场利率上升会导致银行的净利息收入()
敏感性分析是指在保持其他条件不变的前提下,研究多因素变化可能会对金融工具或资产组
()是巴塞尔委员会为应对贷款分类的周期性,引入的一个没有风险敏感性的指标。
随机试题
下列最易发生贫血性梗死的组织器官是() A.子宫 B.肠 C.肺脏 D.
不属于华生认为的行为主义心理学的理论观点的是 A.行为可通过学习和训练加以控制
经脉是经络系统的主干,包括十二经脉、奇经八脉和十二经别三大类,其中()等都属十二
下列违反药品广告申请和发布规定的违法行为,其法律责任属于1年内不受理该企业该品种
张某因不服税务局查封财产决定向上级机关申请复议,要求撤销查封决定,但没有提出赔偿
SS4改型电力机车垂向力传递顺序:车体重量→车体底架侧梁支承座→二系橡胶堆→转向架构架→()→车轴→轮对→钢轨。
为了抑制通货膨胀,国家宏观调控部门可以采取的措施是()。A.降低再贴现率B.降低央行基准利率C.提高个人所得税起征点D.提高银行存款准备金率
生活事件包括人生各时期社会环境和生活环境中发生的各种事件。重大生活事件造成的心情紧张与精神压力成为应激源,从而对疾病的发生起到直接和间接到作用。由此可以认...
根据《标准施工招标文件》,承包人可同时索赔工期和费用的情形有(??)。A.承包人遇到不利物质条件B.法律变化引起价格调整C.发包人要求向承包人提前交付工
一般而言,一种商品的替代性商品越多,该商品的需求弹性就()。A:越小B:越大C:趋于零D:不确定