首页
财务会计
医药卫生
金融经济
考公考编
外语考试
学历提升
职称考试
建筑工程
IT考试
其他
登录
建筑工程
频率υ=500Hz的机械波,波速u=360m·s-1,则同一波线上相位差为的两点间的距离为( )。A、0.12m B、0.24m C、0.36m D、0.48m
频率υ=500Hz的机械波,波速u=360m·s-1,则同一波线上相位差为的两点间的距离为( )。A、0.12m B、0.24m C、0.36m D、0.48m
admin
2020-12-24
8
问题
频率υ=500Hz的机械波,波速u=360m·s-1,则同一波线上相位差为
的两点间的距离为( )。
选项
A、0.12m
B、0.24m
C、0.36m
D、0.48m
答案
A
解析
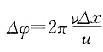
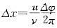
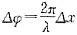
由波的相位传播的概念可知,相距一个波长λ的两个质元在同一时刻的相位差为2π,所以相距△x的两质元在同一时刻相位差为
,而波速u=λυ,有
,即
,代入题设数值,可得△x=0.12m
转载请注明原文地址:https://ti.zuoweng.com/ti/QVQCKKKQ
相关试题推荐
患儿女,8岁,近1个月有游走性关节疼痛,伴红肿,行走困难。心电图检查,T波低平,P-R间期达0.17秒,P-R间期逐步缩短,而且脱落的前后两个P波的距离小...
患儿4岁,生长发育明显落后与其他同龄儿童,双下肢青紫较上肢明显。查体:胸骨左缘上方可闻及连续性“机械”样杂音,可向背部传导,肺动脉瓣第二心音增强。 ...
下列有关小儿呼吸生理特点正确的是A、小儿气道阻力小于成人B、足月儿容易出现呼吸节律不齐C、年龄越小,呼吸频率越快D、婴幼儿呈胸式呼吸E、年龄越小,肺活量
在某场地采用对称四极剖面法进行电阻率测试,四个电极的布置如图所示,两个供电电极A、B之间的距离为20m,两个测量电极M、N之间的距离为6m。在一次测试中,...
在岩体破碎、节理裂隙发育的砂岩岩体内修建的两车道公路隧道,拟采用复合式衬砌。岩石饱和单轴抗压强度为30MPa。岩体和岩石的弹性纵波速度分别为2400m/s...
某建筑场地抗震设防烈度为8度,设计基本地震加速度为0.30g,设计地震分组为第一组。场地土层及其剪切波速见下表。建筑结构的自振周期T=0.30s,阻尼比为...
某大型水电站地基位于花岗岩上,其饱和单轴抗压强度为50MPa,岩体弹性纵波波速4200m/s,岩块弹性纵波波速4800m/s,岩石质量指标RQD=80%。...
某场地地层结构如图所示。采用单孔法进行剪切波速测试,激振板长2m,宽0.3m,其内侧边缘距孔口2m,触发传感器位于激振板中心;将三分量检波器放人钻孔内地面...
某建筑场地位于建筑设防烈度8度地区,设计基本地震加速度值为0.20g,设计地震分组为第一组。根据勘察资料,地面下13m范围内为淤泥和淤泥质土,其下为波速大...
某水利建筑物洞室由厚层砂岩组成,其岩石的饱和单轴抗压强度Rb为30MPa,围岩的最大主应力σm为9MPa。岩体的纵波速度为2800m/s,岩石的纵波速度为...
随机试题
股权投资基金募集流程的第二步是()。
张某在市区开办了一家食品加工厂,属于个体工商户。2017年发生下列支出: 1.
2015年1~11月,北京市20个文化创意产业功能区实现收入7019.8亿元,同
泌尿系肿瘤的血尿是
云南和贵州两省的独立是发生的在()
日本帝国主义宣布无条件投降是在( )。A.1945年8月14日B.1945年8月15日C.1945年9月2日D.1945年9月3日
下列度量单位中,用来度量CPU时钟主频的是()。 A.MB/s B.MIPS C.GHz D.MB
世界五大洲,小狗可利亚去过三个。一只不到七岁的小狗,已然是个老江湖旅客了。早晨带它走在阿布贾的街头,它是一副哪儿都逛过的神气,要不是我手里牵的狗链拴在它脖...
改革开放以来,我国逐渐完善了社会主义初级阶段基本经济制度,经济持续快速发展,从2000年到2012年,国有和集体企业资产从5.70万亿元增加到10.61万...
下列属于信息不对称条件下风险的是()。A:经济风险B:政治风险C:汇率风险D:项目相关方行为风险