首页
财务会计
医药卫生
金融经济
考公考编
外语考试
学历提升
职称考试
建筑工程
IT考试
其他
登录
考公考编
D
D
昕玥
2020-05-20
30
问题
选项
答案
D
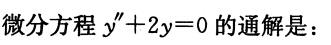
解析
[img]/upload/tiku/131/296720_1.jpg[/img][img]/upload/tiku/131/296720_1_1.jpg[/img]
转载请注明原文地址:https://ti.zuoweng.com/ti/UNnEKKKQ
相关试题推荐
如图7-9所示电路中电流I为()A。
如图6-18所示,明渠均匀流过流断面水深H=3m,底面上的压强为()kPa。
下面不属于操作系统管理功能的是()。
一质量为m的球体,在距地面高度为H处自由下落,球落至地面时的速度只与m,H和重力
标准电极电势是()。
函数可去间断点的个数为()。
已知幂级数的收敛半径R=1,则幂级数的收敛域为()。
设f(x)具有二阶导数,y=f(x2),则的值为()。
石墨能够导电的原因,是由于石墨晶体()。
如图7-20所示电路,正弦电流i2的有效值I2=1A,电流i3的有效值I3=2A
随机试题
保护具应用于( )。 A、听力障碍者 B、视力障碍者 C、谵妄躁动者
桥梁定期检查周期根据技术状况确定,最长不得超过()。 A.一年B.三年C.
能源生产弹性系数计算公式是()。
(该题考查的知识点2018年教材已经调整)40.根据《刑事诉讼法》规定,下列关于
案例二: 一般资料:求助者,女性,57岁,初中文化程度,退休职工。 案例介绍
采用瑞典圆弧法及简化毕肖普法确定土石坝坝坡稳定计算中,考虑作用在条块重心处的竖向
关于肝细胞黄疸的病因,错误的是A.肝硬化B.败血症C.阵发性血红蛋白尿D.病毒性肝炎E.钩端螺旋体病
能够进行实时套利交易的基金是()。A.ETFB.LOFC.伞形基金D.保本基金
药物的副作用是A.由于患者高度敏感所致B.因用量过大所致C.在治疗剂量范围内所产生的与治疗目的无关的作用D.指剧毒药所产生的毒性E.一种过敏反应
非关键工作时差的调整方法有()。A:延长工作的持续时间B:缩短工作的持续时间C:调整逻辑关系D:调整资源的投入E:将工作在其最早开始时间与最迟完成时间范