首页
财务会计
医药卫生
金融经济
考公考编
外语考试
学历提升
职称考试
建筑工程
IT考试
其他
登录
金融经济
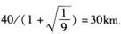
甲、乙两个城市之间的距离为40公里,其中甲城市的人口为9百万人,乙城市的人口为1百万人。那么甲城市的商圈边界为()公里。A:30 B:20 C:15 D:10
甲、乙两个城市之间的距离为40公里,其中甲城市的人口为9百万人,乙城市的人口为1百万人。那么甲城市的商圈边界为()公里。A:30 B:20 C:15 D:10
admin
2020-12-24
4
问题
甲、乙两个城市之间的距离为40公里,其中甲城市的人口为9百万人,乙城市的人口为1百万人。那么甲城市的商圈边界为()公里。
选项
A:30
B:20
C:15
D:10
答案
A
解析
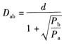
雷利法则的计算公式为:
。式中,d表示甲城市与乙城市之间的距离;P
a
表示甲城市的人口数;P
b
表示乙城市的人口数;D
ab
表示甲城市的商圈边界。题中,甲城市的商圈边界是:
。
转载请注明原文地址:https://ti.zuoweng.com/ti/YaIKKKKQ
相关试题推荐
通常用()来比较期望值不相同的两个损失分布代表的风险的大小。 A.离散系数B.偏度C.协方差D.标准差
市场行为监管主要由_和_两个方面构成。() A.市场约束;风险控制B.市场约束;消费者保护 C.信息披露;风险控制D.信息披露;消费者保护
在统计学中,可以用来衡量两个风险事件之间相关关系量是()。A.标准差B.方差C.协方差D.偏差
关于保险供给的说法,正确的有()。 A.保险供给仅指保险供给者提供的保险产品种类的多少 B.保险供给的内容包括质和量两个方面 C.市场环境影响保险供...
市场行为监管主要由_和_两个方面构成。() A.市场约束;风险控制B.市场约束;消费者保护 C.信息披露;风险控制D.信息披露;消费者保护
保险监管的必要性可以归纳为两个最基本的方面:一是(),保持一个稳定和有效率的保险市场体系;二是保持广大的处于信息劣势被保险人的利益不受损害。 A.维...
在人身意外伤害保险业务中,以下关于“意外伤害”的说法,正确的有()。[2008年真题] A.意外伤害包括“意外”和“致害物”两个必要条件 B.仅有主...
重复保险的构成要件包括()。 A.投保人分别向两个或两个以上的保险人订立数个保险合同 B.投保人与两个或两个以上的保险人订立一个保险合同 C.基于...
通常用()来比较期望值不相同的两个损失分布代表的风险的大小。 A.离散系数B.偏度C.协方差D.标准差
关于城市空间结构理论的说法,错误的有()。A.多核心理论的假设前提是城区内土地是均质的B.同心圆用地结构中第一环带是中心商务区C.城市空间结构的重构和演变影
随机试题
施工方所编制的下列计划都与施工进度有关,属于项目管理范畴的是()
以下关于公共政策的说法正确的有()。 A.通常公共政策对社会具有正、负面
监理实施细则的编制依据、内容的审核要求包括()
用样方法调查生长在狭长草地上的蒲公英的种群密度,正确做法是( )。
建筑市场不良行为信息公布期限一般是( )。
甲企业计划配股,2009年—2011年可供分配利润为5000万,4300万和45
关于埋设塑料管的沟槽回填技术要求的说法,正确的有()。
主变压器吸湿器正常干燥情况下硅胶颜色为蓝色,吸湿后是()。A.紫色B.红色C.黄色
根据《处方管理办法》,开具处方药品用量要求为,处方一般不得超过A.1日用量B.3日用量C.5日用量D.7日用量
根据建设工程项目总进度目标论证的工作步骤,编制各层(各级)进度计划的紧前工作是( )。A、确定项目的工作编码B、调查研究和资料收集C、进行项目结构分析