首页
财务会计
医药卫生
金融经济
考公考编
外语考试
学历提升
职称考试
建筑工程
IT考试
其他
登录
金融经济
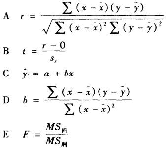
计算回归系数用
计算回归系数用
免费考试题库
2019-12-17
3
问题
计算回归系数用
选项
答案
D
解析
转载请注明原文地址:https://ti.zuoweng.com/ti/Yc4CKKKQ
相关试题推荐
锅炉常见爆炸事故有() A.水蒸气爆炸B.超压爆炸C.缺陷导致爆炸D
下列物质发生火灾,可以用水扑灭的有() A.金属钠B.电石C.带电的电
下列站房,属于机械生产动力站房的是() A.污水处理站、通讯总站B.计
下列事故中,属于电气事故的包括() A.雷电和静电事故B.电磁辐射事故
两艘以上船舶之间发生撞击造成损害的事故叫做()事故。 A.触损B.碰撞C
发生道路交通事故后,要进行现场的保护,在来车方向距离事故现场()m处设立警告
铁路机车车辆冲突事故主要发生在()两个方面。 A.车务和机务B.车务
道路几何线形要素的构成是否合理、线形是否协调,对交通安全有很大影响。下列道路状
某化工机械厂封头冲压成形车间噪声危害严重。控制此噪声最有效的措施是()
为防止风机、水泵等振动所采用的隔振、减振措施,同时可以起到降低或减少()危害
随机试题
绩效考核后,组织可以通过对员工()的交叉分析,将员工划分成安分型、贡献型、堕
有关下颌神经的描述,下列哪项是错误的()
某建筑公司2008年年末有关资产、负债和所有者权益资料见下表。 该建筑公司
土石坝防渗上游截渗的基本方法有()。
确认项目资本金到位的方式很多,具体包括:查验注册资本证明、核对存放资本金账户的资
如果你是某商场的电器销售员,在没有顾客的时候,你会()。 A戴着耳机听音
除当地政府证明已列入国家保障房计划并已开工建设的项目外,待开发或在建占比超过()的商业物业收益权。A.5%B.10%C.20%D.30%
急性苯中毒主要损害A.中枢神经系统B.循环系统C.血液系统D.泌尿系统E.呼吸系统
甲企业为某工程项目的施工总承包方,乙企业为甲企业的分包单位,丙企业则为该工程项目业主认定的专业分包单位,这三家企业在施工及管理中的正确关系是()。A.甲企业只负
库存的主要问题不包括()。A:库存被认为是一种浪费B:库存可能掩盖质量问题C:阻碍人们以整体的观点来管理企业物流D:造成资金的积压占用