首页
财务会计
医药卫生
金融经济
考公考编
外语考试
学历提升
职称考试
建筑工程
IT考试
其他
登录
考公考编
2, 1, 3,10,103,()。A.8927 B.9109 C.9247 D.10619
2, 1, 3,10,103,()。A.8927 B.9109 C.9247 D.10619
admin
2020-12-24
11
问题
2, 1, 3,10,103,()。
选项
A.8927
B.9109
C.9247
D.10619
答案
D
解析
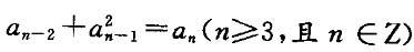
原数列通项公式为:
。因此D项正确。
转载请注明原文地址:https://ti.zuoweng.com/ti/Zhf8KKKQ
相关试题推荐
随机试题
下列化合物按沸点由高到低次序排列正确的是 A.正己烷>正丁烷>丙烷>乙烷>甲烷
施工单位满足了竣工验收的条件,即应组织竣工验收,竣工验收的依据有()等。
下列明确排除在行政诉讼受案范围之外的行为有哪些?()
口腔流行病学的主要作用不包括哪一项( ) A.描述人群口腔健康与疾病状态的分
变压器容量在10OOOkVA以上时,一般气体继电器气体容积整定为()。A.10Ocm3;B.200cm3;C.250cm3;D.350cm3。
患者女,55岁。有怕热、心悸、消瘦。甲状腺II度肿大。查:Ft320.4pmol/L,FT460pmol/L。甲状腺扫描放射线分布不均,心电图示心房颤动...
幽门梗阻剧烈呕吐的病人,呼吸浅、慢、手足搐搦,血清pH7.5,诊断为A.代谢性酸中毒B.代谢性碱中毒C.呼吸性酸中毒D.呼吸性碱中毒E.复合型酸碱平衡失
商铺投资合理的年投资回报率一般为()。A.8%~10%B.10%~12%C.8%~12%D.10%~14%
因设计原因导致的质量缺陷,在工程保修期内的正确说法是()。A.施工企业不仅要负责,还要承担保修费用B.施工企业仅负责保修,由此产生的费用应向建设单位索赔C.
甲某以其价值200万元的住房分别向X、Y、Z三家保险公司各投保90万元家庭财产保险。这种保险方式属于()。[2008年真题] A.共同保险B.再保...