首页
财务会计
医药卫生
金融经济
考公考编
外语考试
学历提升
职称考试
建筑工程
IT考试
其他
登录
财务会计
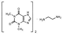
氨茶碱的化学结构是
氨茶碱的化学结构是
天天题库
2019-12-17
6
问题
氨茶碱的化学结构是
选项
A:
B:
C:
D:
E:
答案
B
解析
本题考查药物的化学结构。A为二羟丙茶碱,C为多索茶碱,D为茶碱,E为胆茶碱。本题也可从字面意思选出正确答案,只有B答案侧链含有乙二胺。
转载请注明原文地址:https://ti.zuoweng.com/ti/ZnefKKKQ
相关试题推荐
围护结构热桥部分的温度值如果( )的露点温度,会造成表面结露。 A、高于室外
旧房改造,围护结构采用( )的效果最好。 A、外保温 B、内保温 C
不属于影响建筑构造技术因素的是( )。 A、建筑材料 B、建筑结构
房屋结构的可靠性包括( )。 A、经济性 B、安全性 C、适用性
下列关于厕浴间和有防水要求的建筑地面的叙述,错误的是()。 A、楼层结构必
房屋建筑工程材料中生石灰的化学分子式为()。 A、CaCO3 B、Ca
下列()可作为烧结砖的替代材料,可用于承重结构和非承重结构。目前主要用于单层和
()适用于现浇混凝土结构中竖向或斜向(倾斜度在4:1范围内)钢筋的连接。
下列( )是砌体结构的特点。 A、自重小 B、抗震性能好 C、抗压能
砌体结构的构造是确保房屋结构整体性和结构安全的可靠措施,下列关于墙体的构造要求说
随机试题
熟悉各种传染病的潜伏期最重要的意义是( )。 A、有助于诊断 B、预测疫情
有人在议论,说动物诊疗机构从事动物颅腔、胸腔和腹腔手术的,除具备一般条件外,还应
制冷压缩机的种类很多,根据工作原理不同,分为容积式制冷压缩机和()制冷压缩机等
糖尿病患者预防发生运动意外伤害首要关注的问题是()。
根据审计准则的规定,在记录实施审计程序的性质、时间和范围时,应当记录测试的特定项
施工招标的首要步骤是( )。 A.发布招标公告或投标邀请书 B.建立
简述登记的作用与形式。
关于HBV抗原-抗体的检测,哪项错误 A用于乙型肝炎的诊断B用于筛选合格的献血员C选择治疗用药的参考D判断乙型肝炎的预后E调査人群的免疫水平
选择合适的色谱条件分离下列各组化合物 邻苯二酚和间苯二酚A.离子交换色谱B.聚酰胺色谱C.葡聚糖凝胶GD.大孔吸附树脂E.硅胶或氧化铝吸附色谱
属于胞嘧啶抗代谢类药物的是A.甲氨蝶呤B.巯嘌呤C.吉西他滨D.长春瑞滨E.卡培他滨