首页
财务会计
医药卫生
金融经济
考公考编
外语考试
学历提升
职称考试
建筑工程
IT考试
其他
登录
财务会计
广义积分,则()。 A. I = 1 B. I= -1 C.I=1/2 D.此
广义积分,则()。 A. I = 1 B. I= -1 C.I=1/2 D.此
书海库
2019-12-17
11
问题
广义积分
,则()。A. I = 1 B. I= -1 C.I=1/2 D.此广义积分发散
选项
答案
A
解析
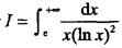
[img]/upload/tiku/36/2207038_1.jpg[/img]
转载请注明原文地址:https://ti.zuoweng.com/ti/aHoNKKKQ
相关试题推荐
C提示:分离变量,化为可分离变量方程两边进行不定积分,得到最后结果。注意左边式子的积分
设L是从点(0,0)沿:y=1-x-1至点(2,0)的折线段,则曲线积分xd
D提示:本题是由球面里面部分和旋转拋物面外部围成的,立体在xOy平面上投影区域:x2+y2≤1,利用柱面坐标写出三重积分。
C提示:把化为球坐标系下的三次积分。被积函数代入直角坐标与球面坐标的关系式x2+y2+z2=r2,体积元素dV=r2sinφdrdθdφ。
B提示:画出积分区域D的图形,再按先x后y顺序写成二次积分。
D是由y2=x及y=x-1所围成的区域,则化为二次积分后的结果为:
所围成的立体体积的三次积分为:
D提示:本题为交换二重积分的积分顺序题目。将先对y积分,后对x积分,换成先x后y积分。
A.1B.-1C.1/2D.广义积分发散
下列定积分中,哪一个等于零?.
随机试题
管涌与流沙(土)防治的基本方法有:()出逸边界措施和施工选择枯水期施工、采取水
采用冻结法施工,井筒的开挖时间要选择适时,当()时最为理想。 A.冻结壁尚未
(105-107题共用题干) 患儿男,3个月,生后Apgar评分3分,现竖头不
肝细胞不能合成哪种蛋白 A.免疫球蛋白 B.糖蛋白 C.脂蛋白 D.清蛋
2016年3月29日13时24分,位于J省H市的××集团股份有限公司在对自备发电
通货膨胀按通货膨胀的原因可划分为需求拉动型通货膨胀、成本推动型通货膨胀、()和
教学从其本质上讲,是()。 A.一种主体活动 B.一种实践活动 C.一种认
20岁男性,发热起病,体温38℃,3天后体温下降伴周身乏力,食欲不振,恶心呕吐,
骨折剧痛应选何药镇痛A.可待因B.氯丙嗉C.哌替啶D.阿司匹林E.吲哚美辛(消炎痛)
下列各项中,应列入利润表“营业外支出”项目的有()。A.应收账款减值损失B.原材料非正常原因造成的盘亏净损失C.固定资产报废净损失D