首页
财务会计
医药卫生
金融经济
考公考编
外语考试
学历提升
职称考试
建筑工程
IT考试
其他
登录
金融经济
16、
16、
tikufree
2020-05-20
7
问题
16、
选项
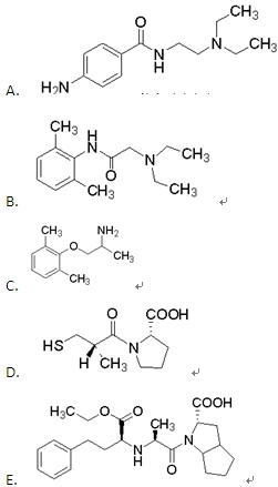
<1>、雷米普利的结构式为
答案
E
解析
转载请注明原文地址:https://ti.zuoweng.com/ti/b4opKKKQ
相关试题推荐
生物量实测,当前通用的办法有( )。 A.分级平均换算法 B.皆
初级生产量的测定方法有( )。[2006年真题] A.氧气测定法
下列属于生态现状调查基本内容的是( )。 A.生态背景调查 B.
以下应列为生态敏感保护目标的有( )。[2008年真题] A.水田
制定植被样方调查方案时,应根据不同植被类型,合理确定( )。[2010年真题]
计算一个植物种在群落中的重要值的参数有( )。[2008年真题] A.相
设雨滴为球体状,若雨滴聚集水分的速率与表面积成正比,则在雨滴形成过程中(一直保持
鱼类资源实地调查可采用的方法有( )。[2012年真题] A.钩钓
在测定绿色植物的总生产量时,需要用到的参数有( )。[2013年真题] A
下列工程项目中,可采用景观生态学方法进行生态现状调查与评价的有( )。[201
随机试题
下列哪一项不是垂体性肾上腺皮质功能亢进的生化特征 A.葡萄糖耐量降低 B.
间接敷磁时磁片下不可垫 A.纱布 B.薄棉布 C.薄棉花 D.厚绒布
工程项目费用管理工作包括()
中型基坑初期排水,排水时间可采用( )
甲公司是一家制造业企业,产品市场需求处于上升阶段,为增加产能,公司拟于2018年
山药的功效是
电离辐射会导致
阅读下面的《兰亭集序》教学反思(节选),按照要求回答问题。 我参照新课标精神尝试改变文言文教学思路.从由教师讲解变成让学生诵读.从重视翻译到重视感悟。...
简述意志行动中的动机冲突。
—般在繁荣期之后出现经济活动放缓,国民生产总值增长率递减,失业率上升,通胀率下降,居民开始对经济和职业前景产生忧虑,逐步减少消费支出。这一阶段属于经济周...