首页
财务会计
医药卫生
金融经济
考公考编
外语考试
学历提升
职称考试
建筑工程
IT考试
其他
登录
考公考编
设函数,要使f(x)在点x=1处连续,则a的值应是:
设函数,要使f(x)在点x=1处连续,则a的值应是:
Freeti
2020-05-20
1
问题
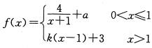
设函数
,要使f(x)在点x=1处连续,则a的值应是:
选项
A.-2B.-1C.0D.1
答案
D
解析
提示:利用函数在一点连续的定义,通过计算[img]/upload/tiku/131/602051_1.jpg[/img]的值确定a值。
转载请注明原文地址:https://ti.zuoweng.com/ti/fSCMKKKQ
相关试题推荐
需求曲线向()倾斜的状况揭示了需求函数的一个重要特征,即需求量与价格呈反方向变
以点电荷q所在点为球心,距点电荷q的距离为r处的电场强度应为:
设F1(x)与F2(x)分别为随机变量X1与X2的分布函数。为使F(x)=aF1
D解:本题为抽象函数的不定积分。考査不定积分凑微分方法的应用及是否会应用不定积分的 选D。
D解:可利用函数在一点x0可导的定义,通过计算得到最后结果。
下列函数中,可以作为连续型随机变量的分布函数的是:
C提示:利用复合函数偏导数公式计算。
C提示:利用复合函数求偏导的公式计算。
A.-1 B.0 C.1 D.2B提示:利用奇函数,在对称区间积分为零的性质,计算如下:判定f1(x)=sinx是奇函数,f2(x)=f(x)+f(-
C提示:求积分上限函数的导数,由于上限为x2,用复合函数求导方法计算。设u
随机试题
甲公司20x7年度1月2日将其所拥有的一座桥梁的收费权让技给A公司10年,10年
工程质量事故发生后,施工单位有责任就质量事故进行调查研究,并写出调查报告,调查报
关于基本的量本利分析图,下列说法中不正确的是( )。
在政府财政收入中,属于非税收入的有:
关于违约责任,下列说法错误的是()。
甲、乙、丙为某有限责任公司股东。现甲欲对外转让其股份,下列哪一判断是正确的?
根据相关法律法规,下列银行机构称谓中属于企业法人的是()。A.苏格兰皇家银行北京代表处B.中国工商银行股份有限公司C.花旗银行(中国)有限公司D.中
椎间隙感染的X线表现不正确的是:A.椎间隙变窄B.椎体间骨性融合C.软骨下骨质硬化D.椎体椎板进行性不规E.椎间隙气球样改变
根据《公司法》,关于设立有限责任公司的说法,正确的是( )。 A.股东人数不得少于10人B.股东出资最低不得少于10万元限额C.由董事长或总经理制定公司
在发放贷款时,衡量贷款申请人偿债能力的指标通常为( )。A、贷款价值比率B、贷款金额C、首付比率D、偿还比率