首页
财务会计
医药卫生
金融经济
考公考编
外语考试
学历提升
职称考试
建筑工程
IT考试
其他
登录
考公考编
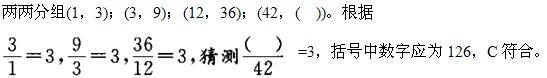
1,3,3,9,12,36,42,( )。A.56 B.84 C.126 D.160
1,3,3,9,12,36,42,( )。A.56 B.84 C.126 D.160
admin
2020-12-24
16
问题
1,3,3,9,12,36,42,( )。
选项
A.56
B.84
C.126
D.160
答案
C
解析
转载请注明原文地址:https://ti.zuoweng.com/ti/gnD0KKKQ
相关试题推荐
基层民主是我国广大工人、农民、知识分子和各阶层人士在城乡基层政权机关、企事业单位和基层自治组织中依法直接行使民主权利。发展基层民主A.有利于提高全民的民主素
加快转变经济发展方式是推动科学发展的必由之路,是我国经济社会领域的一场深刻变革,贯穿经济社会发展全过程和各领域。在当前和今后一个时期,转变经济发展方式...
2011年4月,耶鲁大学出版了《马克思为什么是对的》一书,书中列举了当前西方社会10个典型的歪曲马克思主义的观点。其中一种观点认为:马克思主义将世间万...
与“天宫一号”两度完成“太空之吻”的“神舟八号”飞船,于2011年11月17日顺利回“家”,“天宫一号”与“神舟八号”空间交会对接任务获得圆满成功。这...
人生目的是人在人生实践中关于自身行为的根本指向和人生追求,它所认识和回答的根本问题是A.人为什么活着B.人如何对待生活C.怎样对待人生境遇D.怎样选择人
中国特色社会主义法律体系是以我国全部现行法律规范按照一定的标准和原则划分为不同的法律部门,并由这些法律部f〗所构成的具有内在联系的统一整体。每一法律部...
道德修养是一个循序渐进的过程,古人云:“积土成山,风雨兴焉;积水成渊,蛟龙生焉;积善成德,而神明自得,圣心备焉。故不积跬步,无以至千里;不积小流,无以...
毛泽东在《中国革命和中国共产党》中论述了民主革命和社会主义革命的关系。他指出:“民主革命是社会主义革命的必要准备,社会主义革命是民主革命的必然趋势”。...
19世纪40年代以后,资本-帝国主义势力一次又一次地发动对中国的侵略战争,妄图瓜分中国、灭亡中国。但是,帝国主义列强并没有能够实现他们的这一图谋,其根...
改革开放以来,我们党对公有制认识上的一个重大突破,就是明确了公有制和公有制的实现形式是两个不同层次的问题。公有制的实现形式是指资产或资本的A.占有形式B.
随机试题
李某在服现役期间因公致残,根据《军人残疾等级评定标准》,其被认定为3级残疾。退役
简述劳动标准的含义。
关于凝血因子说法不对的是
?肿疡已成,毒盛正气不虚,尚未溃破或溃而脓出不畅者,治疗应首选
内发论在中国古代的代表人物是()。
假设有一颗行星,其直径与月球相同,密度为月球的2倍。若发射一卫星绕该行星运动.其轨道半径是“嫦娥一号”绕月轨道半径的一半,其质量与“嫦娥一号”相同,则该卫...
心理发展的不平衡性是指()。 A.人生全程心理发展并不是以相同的速率前进的 B.各个心理发展水平不同 C.各个体心理发展方向不同 D.各...
制定科学的投诉处理机制,()地处理客户的投诉。设立接受客户投诉的客户服务电话,在承诺的时间内对客户投诉做出答复。A公平B公正C公开D有效E
患者胸部受伤,急诊入院。经吸氧,呼吸困难无好转,有发绀,休克。査体:左胸饱满,气管向右移位,左侧可触及骨摩擦音,叩之呈鼓音,听诊呼吸音消失,皮下气肿明显。...
下列收入中属于让渡资产使用权收入的是()。A.无形资产出租收入B.机械作业收入C.转让技术的收入D.金融企业发放贷款取得的收入