首页
财务会计
医药卫生
金融经济
考公考编
外语考试
学历提升
职称考试
建筑工程
IT考试
其他
登录
财务会计
B
B
天天题库
2019-12-17
16
问题
选项
答案
B
解析
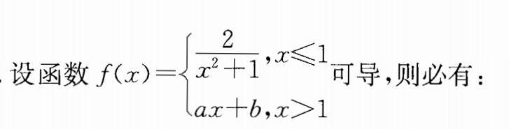
[img]/upload/tiku/190/4874973_1.jpg[/img]
转载请注明原文地址:https://ti.zuoweng.com/ti/gqNlKKKQ
相关试题推荐
测验指导手册的内容包括( )。
确定求助者的问题是否属于健康心理咨询的工作范围的工作程序有( )。
第一个系统的行为治疗模式的创始人是( )。
以性质改变为主的情绪障碍不包括( )。
根据脑电波的变化,睡眠缢过四个阶段大约要经过( )。
通常色觉异常的人通过( )来判断物体的颜色。
( )的出现,使人们有可能再一次把心理的异常现象和大脑的功能联系在一起。
团体心理咨询方案设计的要求不包括( )。
在症状学效度中,( )证实“心理不健康特征”的真实性。
( )是指职业道德能够激发从业人员产生内在动力的效用。
随机试题
下列房地产项目中,不得转让的有( )。[2009年真题] A、已完成开发投资
下列关于信息报送的说法,正确的是( )。 A.私募基金管理人的名称发生变
由于减免税等因素的存在,实际税率常常()名义税率。
糖尿病酮症酸中毒患者,小剂量胰岛素静脉滴注及生理盐水大量输液最常见的副作用是
()是影响企业战略决策的首要外部条件。 A.经济环境B.技术环境C.政治
急性胆囊炎引起的腹痛常发生于A:睡眠时B:剧烈运动时C:空腹时D:油腻餐后E:紧张工作时
简述心理健康教育的基本任务。
下列哪项属于总体规划阶段防灾规划的内容()A:确定防洪标准B:确定截洪沟纵坡C:确定防洪堤横断面D:确定排涝泵占位置和用地
I'dVerymuchliketoknowwhatyouraiminlifeis.
一部新法实施后,对新法实施之前人们的行为不得适用新法,而只能沿用旧法,这体现了税法的适用原则中的( )。A.实体从旧、程序从新原则B.新法优于旧法原则C.