首页
财务会计
医药卫生
金融经济
考公考编
外语考试
学历提升
职称考试
建筑工程
IT考试
其他
登录
财务会计
若有,则当x→a 时,f(x)是:
若有,则当x→a 时,f(x)是:
昕玥
2019-12-17
14
问题
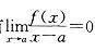
若有
,则当x→a 时,f(x)是:
选项
A.有极限的函数B.有界函数C.无穷小量D.比(x-a)高阶的无穷小
答案
D
解析
提示 由极限运算法则,答案A、B、C均不成立,利用两个无穷小比较知识,当x→a时,a→0,β→0。若[img]/upload/tiku/233/2658564_1.jpg[/img],称在x→a时,a是β的高阶无穷小,所以答案D成立。f(x)是比(x-a)高阶的无穷小。
转载请注明原文地址:https://ti.zuoweng.com/ti/hwHNKKKQ
相关试题推荐
设A,B是两个事件,P(A)=0.3,P(B)=0.8,则当P(AUB
设A,B是两个事件,P(A)=0.4,P(B)=0.5,则当P(AUB)为
若有,则当x→a时,f(x)是:
设a(x)=1-cosx,β(x)=2x2,则当x—0时,下列结论中正确的是()
设P(A)=0.2,P(AUB)=0.6,则当A与B相互独立时,P(B
随机试题
关于补体成分检测说法错误的是 A.检测单个补体含量的方法包括免疫溶血法和免疫化
A.0~1岁 B.1~3岁 C.2~3岁 D.3~7岁 E.7岁以前
牙槽骨的主要糖胺聚糖是
根据《国家赔偿法》的规定,行政赔偿的主管机关应当自收到赔偿申请之日起()作出赔偿
关于慢性淋巴细胞白血病,错误的是
在社会经济形态的发展过程中,构成人类社会基本矛盾的有()。
根据下面的统计图,回答问题 该公司收入大于支出最多的一个月是( )。
一般资料:求助者,男性,22岁,大学生。下面是心理咨询师与求助者之间的一段咨询
周女士,26岁,足月妊娠临产,经阴道助产分娩一3.6kg男婴,出生时婴儿全身皮肤呈现青紫色,Apgar评分为7分,诊断为轻度新生儿窒息。此时患儿复苏首选措施是A
按照劳动争议性质的不同,可由把劳动争议划分为()。A:权利争议B:利益争议C:个别争议D:集体争议E:团体争议