首页
财务会计
医药卫生
金融经济
考公考编
外语考试
学历提升
职称考试
建筑工程
IT考试
其他
登录
建筑工程
A. 0.4 B. 0.6 C. 0.5 D. 0.3A. 0.4 B. 0.6 C. 0.5 D. 0.3
A. 0.4 B. 0.6 C. 0.5 D. 0.3A. 0.4 B. 0.6 C. 0.5 D. 0.3
admin
2020-12-24
4
问题
选项
A. 0.4
B. 0.6
C. 0.5
D. 0.3
答案
A
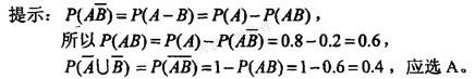
解析
转载请注明原文地址:https://ti.zuoweng.com/ti/ifK8KKKQ
相关试题推荐
以下情况适合于冷疗法的是A.鼻出血B.胃肠痉挛C.乳腺炎D.软组织扭伤48小时后E.腰肌劳损
营养不良患儿早期的表现主要是A.消痩B.体重不增C.皮肤苍白D.肌张力降低E.精神烦躁
王先生,患肝硬化已4年,今日饮酒后突然大量呕血,伴神志恍惚、四肢湿冷、血压下降。该病人最易诱发A.自发性腹膜炎B.心力衰竭C.肾功能衰竭D.肝性脑病E.
王先生,患肝硬化已4年,今日饮酒后突然大量呕血,伴神志恍惚、四肢湿冷、血压下降。此时最有效的止血方法是A.静滴西咪替丁B.胃内灌注去甲肾上腺素C.补充血容量
初孕妇,妊娠40周。临产6小时,宫口开大3cm;临产11小时,宫口全开,头先露,先露“0”,胎心正常。阴道检查后,听诊胎心164次/分,应立即A.准备钳产手术
初孕妇,妊娠40周。临产6小时,宫口开大3cm;临产11小时,宫口全开,头先露,先露“0”,胎心正常。阴道检查后记录为:头先露,先露+1。枕部在母体骨盆左...
患者,男性,40岁,确诊艾滋病病毒感染1年。现阑尾炎术后1天,创面有少量渗血。采血后注射器最恰当的处理方法是A.毁形B.分离针头C.回套针帽D.放入垃圾袋
患者,男性,40岁,确诊艾滋病病毒感染1年。现阑尾炎术后1天,创面有少量渗血。护士更换被血液污染的被服时,防护重点是A.若手部皮肤完好,可不戴手套B.血液污染
患者,男性,40岁,确诊艾滋病病毒感染1年。现阑尾炎术后1天,创面有少量渗血。对该患者的护理措施正确的是A.禁止陪护及探视B.限制患者与他人接触C.在患者
患儿,女,3岁,自幼青紫,发热、咳嗽1天,今晨哭闹后突然出现抽搐入院。体温37.9°C,咽充血,心前区隆起,胸骨左缘闻及心杂音,双肺无干湿啰音,指(趾...
随机试题
下列属于一个普通家庭潜在的家庭财务风险的有()。 A.人身风险 B.财产风险
关于明煅法叙述正确的是 A、药物煅制时不隔绝空气的方法 B、药物煅制时应大小
牙本质磷蛋白说法正确的是 A、约占所有非胶原有机成分50% B、与胶原纤维
公称直径为50mm的管道支架,其设置的最大间距为()m。
婴幼儿孤独症又称自闭症,其主要致病因素是( )。
不能以粉末冲服的饮片是
若缺失,义齿为混合支持式,舌杆与黏膜的接触关系应为A.离开0.5~1mmB.离开1.5~2mmC.离开2.1~2.5mmD.离开0.1~0.4mmE.轻
体液免疫和体液调节是一回事吗?【专业知识类】
根据《招标投标法实施条例》,关于评标过程否决投标的说法,正确的是()。A:投标函未经投标单位盖章或单位负责人签字的,评标委员会应当否决其投标B:投标联合体没有
()不是火灾探测器的组成部分。A.传感元件B.电路C.固定部件D.控制器