首页
财务会计
医药卫生
金融经济
考公考编
外语考试
学历提升
职称考试
建筑工程
IT考试
其他
登录
财务会计
B
B
Loveyou
2019-12-17
14
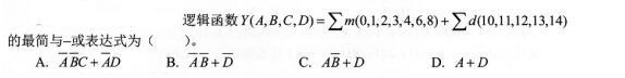
问题
选项
答案
B
解析
转载请注明原文地址:https://ti.zuoweng.com/ti/k4WlKKKQ
相关试题推荐
关于二审只有一名共同犯罪人上诉,在二审期间突然死亡的处理方式,下列说法正确的是:
以下说法中哪些属于抢劫罪加重处罚的情形:
下列哪些情形不属于加重处罚的情节:
以下哪些选项属于拒不履行信息网络安全管理义务罪的构成条件:
甲购买一辆二手汽车,行驶一段时间后发动机出现故障,并且缺少备用轮胎,便将家附近停
关于数罪并罚,以下说法不正确的是:
甲以抢劫的故意将丙殴打成重伤,此时,事先与甲没有商量的乙跑过来,在甲同意后取得了
袁某因盗窃罪被甲市A区检察院提起公诉批准逮捕。后案件移交该市B区检察院提起公诉,
某市人民政府规定,在城市规划区内开办粮食批发市场的许可由市粮食局统一办理,市建设
关于行政法规起草,下列哪一选项是正确的:
随机试题
下列关于商品房预(销)售的表述中,错误的是( )。[2008年真题] A、未
蛋白电泳时泳速最慢的蛋白是 A.γ-球蛋白 B.β-球蛋白 C.α2-球
数字鸿沟:是指在全球数字化进程中,不同国家、地区、行业、企业、社区之间,由于对信
患者男,68岁,突发腹痛伴停止排气排便1日,未呕吐。查体:腹膨隆且不对称,以左下
下列各项中,属于票据绝对记载事项的有()。
朱光潜先生曾说过,面对一棵古松,有三种态度,科学、实用和审美。审美的情形有两种,
要确诊肝性脑病必须查A.血糖B.血氨C.血钾D.血钠E.血常规
目前会议效率比较低,你认为怎样才能提高会议效率?
根据各种影响房地产价格因素自身的性质,可以将影响房地产价格的因素分为( )。A、心理因素B、物价因素C、交通因素D、人口因素E、政治因素
在美国,对于工程实施阶段实际成本与计划目标出现偏差的工程项目,首先应()。A.进行重要成本差异分析B.按照定标准筛选成本差异C.填写成本差异分析报告表D