首页
财务会计
医药卫生
金融经济
考公考编
外语考试
学历提升
职称考试
建筑工程
IT考试
其他
登录
医药卫生
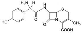
头孢羟氨苄的化学结构为A.B.C.D.E.
头孢羟氨苄的化学结构为A.B.C.D.E.
admin
2020-12-24
8
问题
头孢羟氨苄的化学结构为
选项
A.
B.
C.
D.
E.
答案
B
解析
转载请注明原文地址:https://ti.zuoweng.com/ti/kEcaKKKQ
相关试题推荐
分子内有莨菪碱结构的是A.丙酸倍氯米松B.沙美特罗C.异丙托溴铵D.扎鲁司特E.茶碱
基本骨架为黄嘌呤环,与咖啡因结构类似的磷酸二酯酶抑制剂类平喘药物是
多巴胺注射液加入5%碳酸氢钠溶液中逐渐变成粉红色属于A.药理学的配伍变化B.给药途径的变化C.适应证的变化D.物理学的配伍变化E.化学的配伍变化
关于他莫昔芬叙述错误的是A.属于三苯乙烯类结构B.抗雌激素类药物C.药用反式几何异构体D.代谢物也有抗雌激素活性E.主要的代谢物为Ⅳ一脱甲基他莫昔芬
阿托品在碱性水溶液中易被水解,这是因为化学结构中含有A.酰胺键B.酯键C.酰亚胺键D.环氧基E.内酰胺键
当一种药物与特异性受体结合后,受体对激动药的敏感性和反应性下降,此作用为A.抵消作用B.相减作用C.脱敏作用D.生化性拮抗E.化学性拮抗
结构中不含有硫的四碳链,有哌啶甲苯结构,无拮抗雄激素作用的H2受体拮抗剂是A.西咪替丁B.雷尼替丁C.法莫替丁D.罗沙替丁E.尼扎替丁
属于药物代谢第Ⅰ相生物转化中的化学反应是A、氧化?B、还原?C、卤化?D、水解?E、羟基化?
结构中含有2个手性中心,用(-)-(3S,4R)-异构体A.多塞平B.帕罗西汀C.西酞普兰D.文拉法辛E.米氮平
分子中含有苯并呋喃结构,S异构体阻断5-HT的重摄取活性比R异构体强的药物是A.多塞平B.帕罗西汀C.西酞普兰D.文拉法辛E.米氮平
随机试题
3、文件三 类 别:电子邮件 来件人:周长林 薪酬主管 接收人:谢
根据《行政许可法》,下列各项中是被许可人的违法活动的有( )。 A、出借行政许
过度投资理论把繁荣时期的暴跌归因于()。 A.过高的利率使本来就不足的投资需
特殊行为问题学生主要是指有暴力倾向、网络成瘾或者违纪的学生,其中违纪行为包括(
根据《招标投标法》,以下关于招标代理的表述正确的有( )。 A、招标代理机构
灯丝:电灯 A.桌子:台布B.讲台:教室C.玉米:花生D.麦子:粮食
开展一次有奖征文活动,让你组织本单位工作人员手机短信互动活动,你怎么组织?
JK00430型机车走行部车载监测装置,必须直接取用轴端的光电转速传感器的转速脉冲信号,轮对每转动1周,发出200个转速脉冲。
王某某,男,49岁,秀英街道某某村人。1989年伙同他人参与盗窃19次,作案金额2万余元,被判处无期徒刑,并被剥夺政治权利终身。在服刑期间,他认罪伏法,遵...
某公司欠银行贷款本金3000万元,利息360万元。经协商双方同意以该公司事先抵押给银行的闲置的机器设备3600万元(评估价)抵偿贷款本息。银行对该笔抵债...