首页
财务会计
医药卫生
金融经济
考公考编
外语考试
学历提升
职称考试
建筑工程
IT考试
其他
登录
考公考编
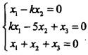
设齐次方程组,当方程组有非零解时,k值为( )。
设齐次方程组,当方程组有非零解时,k值为( )。
昕玥
2020-05-20
2
问题
设齐次方程组
,当方程组有非零解时,k值为( )。
选项
A. -2或3B. 2或3C. 2或-3D. -2或-3
答案
A
解析
提示:由条件知,齐次方程组有非零解,故系数行列式等于零,[img]/upload/tiku/138/332275_1.jpg[/img]
转载请注明原文地址:https://ti.zuoweng.com/ti/kcQMKKKQ
相关试题推荐
某优先股,每股股利为6元,票面价值为100元,若市场利率为7%,其理论价格为(
3个月国库券(假定90天),面值为100元,价格为96元,则该国库券的年贴现率为
2007年9月I日,某企业将持有的面值为10000元、到期日为2007年9月1
已知正弦电流的初相为60°,t=O时的瞬时值为8.66A,经过1/300s
已知正弦电流的初相位90°,在t=0时的瞬时值为17.32A,经过(1/50)
在题7中,如果要求将功率因数提高到0.95,应给日光灯并联的电容C的值为()
已知正弦电流的初相是90o,在t=0时瞬时值为17.32A,经过0.5X10
某变电站母线上带有三条波阻抗为Z=400Ω的无限长输电线,当幅值为750kV的行
电路如图所示,求ab之间的电阻值为()。
如图所示电压幅值为E的直角电压波在两节点无限长线路上传播时,当Z2>Z1,Z3
随机试题
急性肺炎的病程是 A.1个月以内 B.1~2个月 C.2~3个月 D.3
材料题 根据以下内容,回答96-100题。 甲企业为高尔夫球及球具生产厂家,
资产负债表中“应收账款”项目,应根据“应收账款”账户所属各明细账户的期末借方余
下列项目中,属于其他业务收入核算范围的有()。
()适用于工程规模小、工期短和风险不大的项目。
患者,男,8岁,肾病综合征初治,体重25kg,泼尼松每次Mmg,每天2次,治疗
下列哪一项属于期货合约的特征?( )A.非标准化合约B.柜台交易C.履约大部分通过对冲方式D.合约的价格有最大变动单位和浮动限额
学校文化的核心是( )。A.学校的物质文化B.学校的精神或观念文化C.学校组织和制度文化D.学校的非正规文化
女性,32岁。因气急、全身水肿、肝大、颈静脉怒张入院,追问病史,患风心病二尖瓣关闭不全8年,平时在家间断服药,药物不详。入院后给予地高辛,半个月后出现室性...
甲公司2019年度营业收入5020万元,营业成本3500万元,税金及附加120万元,期间费用合计320万元,信用减值损失10万元,资产减值损失40万元,营...