首页
财务会计
医药卫生
金融经济
考公考编
外语考试
学历提升
职称考试
建筑工程
IT考试
其他
登录
建筑工程
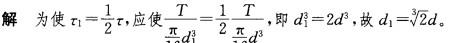
直径为d的实心圆轴受扭,为使扭转最大切应力减小一半,圆轴的直径应改为:
直径为d的实心圆轴受扭,为使扭转最大切应力减小一半,圆轴的直径应改为:
admin
2020-12-24
1
问题
直径为d的实心圆轴受扭,为使扭转最大切应力减小一半,圆轴的直径应改为:
选项
答案
D
解析
转载请注明原文地址:https://ti.zuoweng.com/ti/lUn0KKKQ
相关试题推荐
速度v、直径d、动力黏滞系数μ、密度ρ组成的无量纲数可表达为()。A.dv/ρμB.dμv/ρC.dvρ/μD.dμρ/v
研究锥管阻力的模型实验,原型进出口直径分别为1m和2m,管长0.5m,则模型管锥顶角为()。A.45°B.60°C.90°D.120°
恒定水位柱形滤水器如图6-35所示,已知直径d=1.0m,土样高度h=1.2m,渗透系数k=0.01cm/s,土样上部水深H=0.6m,渗流量Q为(...
如图6-33所示,土样装在直径0.2m,测量长度0.8m的圆桶中,测得水头差0.2m,流量0.01m3/d,则渗流系数为()m/d。 A.1.273B
图6-27中,水箱侧壁开一圆形薄壁孔口,直径d=5cm,水面恒定,孔口中心到水面的高度H=4.0m,已知孔口的流速系数φ=0.98收缩系数ε...
紊流运动流层之间的剪切应力()。A.符合牛顿内摩擦定律B.不符合牛顿内摩擦定律C.与管道长度有关D.不能确定
一恒定出流薄壁小孔口,直径为和d=2cm,作用水头场H0=4m,则其出流量Q为()m3/s。A.1.82x10-3B.1.63x10-3C.1.54x
在正常工作条件下,作用水头H、直径的d相等时,小孔口收缩断面的流速v和圆柱形外管嘴出流的流速vn()。A.v>vnB.v=vnC.vnD.不定
在正常工作条件下,作用水头H、直径d相等时,小孔口的流量Q和圆柱形外管嘴的流量Qn()。A.Q>QnB.Q=QnC.QnD.不定
变直径管流,细断面直径为d1=30mm,雷诺数为5000,粗断面直径d2=2d1,则粗断面管中雷诺数是()。A.5000B.4000C.2500D
随机试题
依据《专利法》的有关规定,下列情形可以授予专利权的是()。 A、甲发明了印制伪
抗绿脓杆菌最强的头孢菌素是 A.头孢呋辛 B.头孢唑啉 C.头孢曲松 D
建筑工程施工质量验收的要求不包括( )。 A、工程观感质量应由验收人员现场检查
在Excel中,自动填充柄的自动填充功能可完成( )操作。
关于或有事项,以下处理正确的有( )
羚角钩藤汤与阿胶鸡子黄汤的共同药物不包括
女性,42岁。因油腻饮食后出现持续性右上腹痛伴阵发性加重8小时入院。查体:体温39℃,脉搏96次/分,血压120/80mmHg。皮肤巩膜中度黄染。WBC1...
工程监理企业组织形式中,股份有限公司的设立条件有( )。A.发起人符合法定人数B.有公司住所C.股份发行、筹办事项符合法律规定D.有公司名称,建立符合股
矿业工程施工索赔的内容包括()。A.工期索赔B.技术索赔C.费用索赔D.设备索赔E.材料索赔
下列关于关键审计事项的说法中,错误的是( )。A.在审计报告中沟通关键审计事项可以提高已执行审计工作的透明度B.沟通关键审计事项能够为财务报表使用者提供额外