首页
财务会计
医药卫生
金融经济
考公考编
外语考试
学历提升
职称考试
建筑工程
IT考试
其他
登录
建筑工程
均质圆盘重W,半径为R,绳子绕过圆盘,两端各挂重Q和P的物块,绳与盘之间无相对滑动,且不计绳重,则圆盘的角加速度为( )。
均质圆盘重W,半径为R,绳子绕过圆盘,两端各挂重Q和P的物块,绳与盘之间无相对滑动,且不计绳重,则圆盘的角加速度为( )。
admin
2020-12-24
3
问题
均质圆盘重W,半径为R,绳子绕过圆盘,两端各挂重Q和P的物块,绳与盘之间无相对滑动,且不计绳重,则圆盘的角加速度为( )。
选项
答案
D
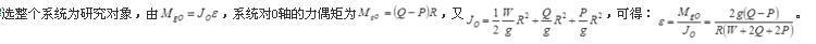
解析
转载请注明原文地址:https://ti.zuoweng.com/ti/mNQCKKKQ
相关试题推荐
某均匀黏性土中开挖一路堑,存在如图所示圆弧滑动面,其半径为14m,滑动面长度28m,通过圆弧滑动面圆心O的垂线将滑体分为两部分,坡里部分的土重W1=145...
在黏土的简单圆弧条分法计算边坡稳定中,滑弧的半径为30m,第i土条的宽度为2m,过滑弧底中心的切线,渗流水面和土条顶部与水平方向所成夹角都是30°,土条水...
碱液法加固地基,拟加固土层的天然孔隙比为0.82,灌注孔成孔深度6m,注液管底部在孔口以下4m,碱液充填系数取0.64,试验测得加固地基半径为0.5m,则...
某饱和软黏土地基上的条形基础,基础宽度3m,埋深2m,在荷载F、M共同作用下,该地基发生滑动破坏,已知圆弧滑动面如图(图中尺寸单位为mm)所示,软黏土饱和...
某铁路桥墩台为圆形,半径为2.0m,基础埋深4.5m。地下水位埋深1.5m,不受水流冲刷,地面以下相关地层及参数见下表。根据《铁路桥涵地基和基础设计规范》...
某水库有一土质岩坡,主剖面各分场面积如下图所示,潜在滑动面为土岩交界面。土的重度和抗剪强度参数如下:γ天然=19kN/m3,γ饱和=19.5kN/m3。c...
设计一个坡高15m的填方土坡,用圆弧条分法计算得到的最小安全系数为0.89,对应的滑动力矩为36000kN?m/m,圆弧半径为37.5m;为此需要对土坡进...
—个在饱和软黏土中的重力式水泥土挡土墙如图所示,土的不排水抗剪强度cu=30kPa,基坑深度5m,墙的埋深4m,滑动圆心在墙顶内侧O点,滑动圆弧半径R=...
采用拟静力法进行坝高38m土石坝的抗震稳定性验算。在滑动条分法的计算过程中,某滑动体条块的重力标准值为4000kN/m。场区为地震烈度8度区。作用在该土条...
某湿陷性黄土地基采用碱液法加固,已知灌注孔长度10m,有效加固半径0.4m,黄土天然孔隙率为50%,固体煤碱中NaOH含为85%,要求配置的碱液度力100...
随机试题
鼻腭神经阻滞麻醉时一般的注射麻药量是 A、0.25~0.5ml B、0.3
以下哪一项是居室容积的确定依据( ) A.人的呼出量,室内消耗量等因素 B
A公司为B公司和c公司的母公司,C公司为D公司的主要原材料供应商。在不考虑其他因
首期发行短期融资券的,应至少于发行日前2个工作日公布发行文件。()
记者:请您简单介绍一下自己的创作情况。 亚根:我发表的第一篇作品是短篇小说,出版的第一部作品是长篇小说。但实际上,我的创作并非一开始就以小说为主...
证券公司应当至少每半年经()签署确认后,向公司全体股东报告一次公司净资本等风险控制指标的具体情况和达标情况,并至少获得主要股东的签收确认证明文件。A.董事会
治肺热咳嗽宜用()。A.二母宁嗽丸B.清肺抑火丸C.苏子降气丸D.镇咳宁糖浆E.川贝止咳露
建筑材料按其功能用途分类可分为()A、结构材料B、防水材料C、胶凝材料D、天然建材E、装饰材料
在员工出现下列情形时,施工企业可随时解除劳动合同的有()。A.在试用期间被证明不符合录用条件B.严重失职给本单位造成重大损失C.严重违反施工企业规章制度D
由自然人投资设立或由自然人控股,以雇佣劳动为基础的、以经营道路运输为主、业主享有企业的全部经营所得同时对企业的债务承担完全责任的营利性经济组织是()。A:国有运