首页
财务会计
医药卫生
金融经济
考公考编
外语考试
学历提升
职称考试
建筑工程
IT考试
其他
登录
财务会计
设二重积分,交换积分次序后,则I等于:
设二重积分,交换积分次序后,则I等于:
天天题库
2019-12-17
8
问题
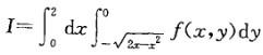
设二重积分
,交换积分次序后,则I等于:
选项
答案
A
解析
解:本题考查二重积分交换积分次序方面的知识。解这类题的基本步骤:通过原积分次序画出积分区域的图形,得到积分区域;然后写出先x后y的积分表达式。[img]/upload/tiku/190/2457053_1.jpg[/img]
转载请注明原文地址:https://ti.zuoweng.com/ti/oySNKKKQ
相关试题推荐
如图所示变截面梁,用积分法求挠曲线方程时应分几段?共有几个积分常数?下列结论中
用积分法计算图示梁的位移时,确定积分常数所用的边界条件和连续条件为: A.
已知某产品的零件甲的功能评分为5,成本为20元,该产品各零件功能积分之和为40,
杆件受力情况如图所示。若AB、BC、CD三段的横截面面积分别为A、2A、3A,则
图示刚梁AB由标1和杆2支承。已知两杆的材料相同,长度不等,横截面面积分别为A1
设D为2≤x2+y2≤2x所确定的区域,则二重积分化为极坐标系下的二次积分时等于
D提示:画出积分区域D的图形,确定r和θ的取值。 θ值:由θ=0变化到θ=π/4,0≤θ≤π/4; r的确定:在0~π/4间任意做一条射线,得到穿入点的r
B提示:化为极坐标计算。面积元素dxdy=rdrdθ,x=rcosθ,y=rsinθ,写出极坐标系下的二次积分,再计算。
(其中D:x2+y2≤1)化为极坐标系下的二次积分,其形式为下列哪一式?
D是由y2=x及y=x-1所围成的区域,则化为二次积分后的结果为:
随机试题
对发电机外部相间短路故障和作为发电机主保护的后备,当发电机容量为50MW及以上时
(2019年)根据九部委联合发布的《标准材料采购招标文件》和《标准设备采购招标文
受被测者动机影响不显著的是( )测验。
甲公司与乙公司订立一买卖合同,甲将5辆汽车卖给乙。该民事法律关系的客体是()。
领导者在对调查对象进行初步分析的基础上,根据调查的目的和要求,选择少数有代表性的
在判断甲状腺结节良、恶性时,下列哪项不正确? A.单发结节恶性机会较多发结节大
我国调控投资结构的经济手段包括() A.项目审批B.项目核准 C
空气物体表面医护人员手 cfu/m3cfu/cm2cfu/cm2 A.—≤15...
一个世界范围的对生产某些破坏臭氧层的化学物质的禁令只能提供一种受到保护的幻觉。已经生产出的大量的这种化学物质已经作为制冷剂存在于数百万台冰箱中。一旦它们到...
(2016年真题)对某33层住宅建筑的消防电梯进行防火检查,下列检查内容中,不属于防火检查内容的是()。A.电梯的载重量B.首层设置的消防员专用操作按钮C