首页
财务会计
医药卫生
金融经济
考公考编
外语考试
学历提升
职称考试
建筑工程
IT考试
其他
登录
财务会计
C
C
Freeti
2019-12-17
43
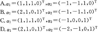
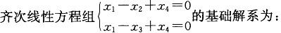
问题
选项
答案
C
解析
[img]/upload/tiku/190/5300734_1.jpg[/img]
转载请注明原文地址:https://ti.zuoweng.com/ti/qHFlKKKQ
相关试题推荐
窝沟封闭是WH0推荐的一种重要的防龋措施,下面关于窝沟封闭的说法,错误的是(
在一项病例对照研究中,计算出某研究因素的OR值95%可信区间为0.35~0.75
在评价儿童现实营养状况时,除了国际上通用的方法外,目前学术界还常用哪一指标(
下列有关疾病监测的论述错误的是( )。
能使氧化磷酸化减慢的物质是( )。
引起移植排斥反应最重要的抗原是( )。
与免疫复合物型超敏反应有关的疾病是( )。
苯海索治疗帕金森病的作用机制是( )。
有关变构调节(或变构酶)的叙述,哪项不正确( )。
发生在肝生化转化第二阶段的是( )。
随机试题
5.当旅游产品价格一定幅度的变化会引起旅游供给量更大幅度的变化时, 旅游供给弹
水泵铭牌上标出的扬程是水泵的()扬程。
党在民主革命时期,逐步认识到土地革命的极端重要性,形成了土地革命路线,这就是(
1914年7月,孙中山在东京正式成立了( )。A.兴中会B.中国同盟会C.中华革命党D.中国国民党
德育的途径是指德育的实施渠道或形式,()是德育的基本途径。 A.思想品德课B.其他学科教学 C.班会D.课外活动 E.学校例会
下列不是以并购方式实现退出的程序步骤的是()A、转让方与受让方谈判并签署股权转让协议B、受让方对目标公司进行尽职调查C、向工商行政管理部门申请公司变更登记
A.眼球快速运动 B.脑内蛋白质合成加速 C.生长素分泌明显升高 D.脑电图呈现去同步化快波A.眼球快速运动B.脑内蛋白质合成加速C.生长素分泌明显升
关于缓泻药物 尤其适用于儿童及老年体弱者低张力便秘的是A.聚乙二醇粉B.甘油栓C.硫酸镁D.比沙可啶E.乳果糖
与横道计划相比,网络计划的主要优点是()。A.简单、形象、直观B.各工作之间的逻辑关系明确C.确定影响工程总工期的关键工作D.可合理地进行资源配置E
《中华人民共和国城市房地产管理法》第58条规定“国家实行房地产()制度”。A.价格评估人员资格认证B.价格审批C.房地产估价师执业资格D.价格鉴证