首页
财务会计
医药卫生
金融经济
考公考编
外语考试
学历提升
职称考试
建筑工程
IT考试
其他
登录
建筑工程
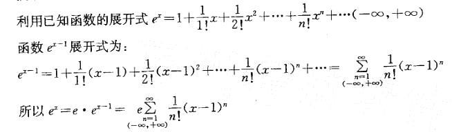
函数ex展开成为x-1的幂函数是:
函数ex展开成为x-1的幂函数是:
admin
2020-12-24
13
问题
函数ex展开成为x-1的幂函数是:
选项
答案
B
解析
提示:已知ex=e x- 1+1=e ? e x-1。
转载请注明原文地址:https://ti.zuoweng.com/ti/qrKCKKKQ
相关试题推荐
进行液化指数计算时,下述说法正确的是()。 A.液化指数计算的深度一般情况下应取15m B.0~5m范围内权函数为10 C.深度增加,权函数值相应...
下列说法错误的是()。A.流线是一条直线B.流线是流函数的等值线,等势线是水头函数的等值线C.上下游水位下的坝坡和库底均为等势线,总水头分别为上下游库水
进行液化指数计算时,下述正确的说法是( )。A.液化指数计算的深度一般情况下应取15mB.0~5m范围内权函数为10C.深度增加,权函数值相应减少D.当
设函数f(x)在[-a,a]上连续,下列结论中哪一个是错误的?
,是下列中哪个函数? A.f'(x)的一个原函数B.f'(x)的全体原函数 C.f(x)的一个原函数D.f(x)的全体原函数
下列函数中,哪一个不是f(x)=sin2x的原函数?A.3sin2x+cos2x-3B.sin2x+1C.cos2x-3cos2x+3D.(1
设f(x)是连续函数,则f(x)= A.x2B.x2-2C2xD.x2-16/9
设一个三次函数的导数为x2-2x-8,则该函数的极大值与极小值的差是: A.-36B.12C.36D.以上都不对
函数在[1,2]上符合拉格朗日定理条件的ζ值为:
已知由方程siny+xey,确定y是x的函数,则dy/dx的值是:
随机试题
恶性肿瘤细胞的主要形态特征哪项不是 A.核增大 B.核大小不一,相差悬殊
关于专项施工方案编制与审查的表述中,错误的是( )。 A、项目监理机构应审查施
大学生的思维表现出以下特点()
短期投资取自财务中的()。
Ⅱ类精密进近灯光系统的侧边灯发( )光。A.白色B.绿色C.红色D.蓝色
根据公司法的规定,以下说法正确的有( )A.有限公司章程规定董事任期每届2年B.股份公司章程规定监事任期每届2年C.董事会表决可以实行一人一票,也可以在章
全球最著名的基准利率有()。A伦敦同业拆借利率B美国联邦基准利率C上海银行间同业拆借利率D人民银行同业拆借利率
下列选项中属于风险响应工作内容的是(。A.分析各种风险因素发生的概率B.分析各种风险的损失量C.确定各种风险的风险量和风险等级D.确定应对各种风险的风险
秦汉时期的刑罚主要包括笞刑、徒刑、流放刑、肉刑、死刑、羞辱刑等,下列哪些选项属于徒刑?A:候B:隶臣妾C:弃市D:鬼薪白粲
共用题干 2008年受美国次贷危机的影响,蹒跚前行的全球经济引发了人们对通货紧缩的担忧,由次贷危机引发的大范围的金融危机,已经危害到各个经济领域,制造、...