首页
财务会计
医药卫生
金融经济
考公考编
外语考试
学历提升
职称考试
建筑工程
IT考试
其他
登录
建筑工程
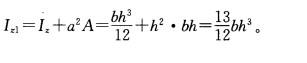
图示矩形截面对z1轴的惯性矩lx1为:
图示矩形截面对z1轴的惯性矩lx1为:
admin
2020-12-24
7
问题
图示矩形截面对z1轴的惯性矩lx1为:
选项
答案
D
解析
解
转载请注明原文地址:https://ti.zuoweng.com/ti/sUn0KKKQ
相关试题推荐
如图所示,矩形波发生电路中,运算放大器的电源为+15V(单电源供电),其最大输出电压Umax=12V,最小的输出电压Uomin,其他特性都是理想的,那么...
雷诺数物理意义表示()。A.黏滞力与重力之比B.惯性力与重力之比C.惯性力与黏滞力之比D.压力与惯性力之比
坡度、边壁材料相同的渠道,当过水断面的水力半径相等时,明渠均匀流过水断面的平均流速()。A.半圆形渠道最大B.梯形渠道最大C.矩形渠道最大D.一样大
矩形渠道断面宽度4m,水深2m,流量8m3/s,渠底坡度为0.0001,其粗糙系数为()。A.0.005B.0.01C.0.02D.0.04
如图6-5所示,垂直放置的矩形平板挡水,水深3m,静水总压力P的作用点到水面的距离yD为()m。 A.1.25B.1.5C.2D.2.5
矩形截面梁高度为h,宽为b,在横力弯曲时切应力的分布规律为()。A.沿截面高度均匀分布B.沿截面宽度均匀分布C.沿截面高度线性分布D.沿截面宽度线性分布
拉压杆应力公式σ=FN/A的应用条件为()。A.应力在比例极限内B.外力合力作用线必须沿着杆的轴线C.应力在屈服极限内D.杆件必须为矩形截面杆
如图4-77所示三个质量、半径相同的圆盘A、B和C,放在光滑的水平面上;同样大小和同方向的力F分别作用于三个圆盘的不同点,则惯性力分别向各自质心简化的结果...
在图4-76中,将系统的惯性力系向O点简化,其主矢FI和主矩MIO的数值分别为()。
如图4-62所示质量为m的三角形物块,其倾斜角为θ,可在光滑的水平地面上运动。质量为m的矩形物块又沿斜面运动。两块间也是光滑的。该系统的动力学特征(动量...
随机试题
满族的\"万字炕\"是在( )面筑有大土坯炕。 A、东 B、西 C、南 D
色彩丰富鲜艳、具有多色性的染色方法是 A.巴氏染色法 B.吉姆萨染色法 C
下列哪项属于非典型抗精神药物 A.氯氮平 B.氯丙嗪 C.卡马西平 D.
某药物在口服和静脉注射相同剂量后的时量曲线下面积相等,这意味着
下述血栓中,哪种是白色血栓? A.疣状心内膜炎的瓣膜赘生物B.心房纤颤时心耳
以下属于人格测验的是()A.SASBWAISB.MMPIDC.SDSED.SCL-90
关于等级相关,不正确的是A.当总体的分布类型未知时可用等级相关B.当原始数据为等级资料时可用等级相关C.当两变量不服从正态分布时可用等级相关D.等级相关适
药品不良反应是指A.药品在正常用法用量下出现的与用药目的有关的中毒有害反应B.合格药品在超常规用法用量下出现的与用药目的无关的有害反应C.合格药品在正常用法
求助者一般资料:李女士,50岁,丧偶,提前退休,在女儿的多次劝说下来做心理咨询。 案例介绍:求助者在40岁的时候丈夫去世,个性坚强、遇事有主见,自从...
下列关于审计收费的说法中,正确的有( )。A、对于审计业务不按服务成果的大小决定收费标准B、收费标准可以由法院或政府有关部门规定C、收费标准与服务性质、工时