首页
财务会计
医药卫生
金融经济
考公考编
外语考试
学历提升
职称考试
建筑工程
IT考试
其他
登录
建筑工程
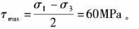
如图5-6-11所示单元体的应力单位为MPa,则其最大剪应力为()MPa。 A. 60 B. -60 C. 20 D. -20
如图5-6-11所示单元体的应力单位为MPa,则其最大剪应力为()MPa。 A. 60 B. -60 C. 20 D. -20
admin
2020-12-24
15
问题
如图5-6-11所示单元体的应力单位为MPa,则其最大剪应力为()MPa。
选项
A. 60
B. -60
C. 20
D. -20
答案
C
解析
图示单元体处于平而应力状态,由于图示方向上无剪应力,因此可知该方向为主应力方向,易得σ1=80MPa,σ2=0,σ3=-40MPa。故
转载请注明原文地址:https://ti.zuoweng.com/ti/zL60KKKQ
相关试题推荐
受力情况相同的三种等截面梁,它们分别由整块材料或两块材料并列或两块材料叠合(未粘接)组成,如图5-33所示。若用(σmax)1、(σmax)2、(σma...
如图6-7所示,1、2两种液体,上下分层,测压管1、2中的液面关系是()。 A.1高于2B.2高于1C.两者平齐D.不确定
如图7-12所示电路中u=-1OV,则6V电压源发出的功率为()W。 A.9.6B.-9.6C.2.4D.—2.4
电路如图7-49所示,已知R1=R2=2kΩ,R3=3kΩ,VD为理想二极管,电流I为()mA。 A.0.75B.0C.1D.3
负有安全生产监督管理职责的部门依法对生产经营单位执行有关安全生产的法律、法规、国家标准或者行业标准的情况进行监督检查的职权不包括()。A.对生产经营单位检查
图7-40中,图(a)所示电路的激励电压如图(b)所示,那么,从t=0时刻开始,电路出现暂态过程的次数和在换路时刻发生突变的量分别是()。 A.3次,电感电压
计算机存储器中的每一个存储单元都配置一个唯一的编号,这个编号就是()。A.一种寄存标志B.寄存器地址C.存储器的地址D.输入/输出地址
如图6-18所示,明渠均匀流过流断面水深H=3m,底面上的压强为()kPa。 A.9.81B.39.24C.29.43D.19.62
如图4-48所示直角弯杆OAB以匀角速度ω绕O轴转动,并带动小环M沿OD杆运动。已知OA=l,取小环M为动点,OAB杆为动系,当φ=60°时,M点牵连...
已知F1、F2、F3、F4为作用于刚体上的平面汇交力系,其力矢关系如图4-6所示为平行四边形。由此可知()。 A.力系可合成为一个力偶B.力系可合成为一个
随机试题
某国外企业拟开拓我国某大城市市场。经调查,该市市政府目前有A、B两个BOT项目将
下列折线图中,能准确反映2016年各个季度在线视频增值服务收入同比增
From:MaryUnger[m_unger@pdc.com] To:
对于贷款档案的保存期限,说法错误的是( )。
2009年,某省全年粮食作物播种面积253.85万公顷,比上年增长1.5%
病毒性肺炎的特点不包括
下列情形可以计算线条模板增加费的是()。A.混凝土梁面凸出宽度大于300mm的单阶线条B.混凝土墙面凸出宽度为250mm的单阶线条C.砖墙上混凝土窗
监理工程师最终确认工程质量事故的技术处理是否达到了预期的目的,应通过()A:观察和必要的判断B:检查和必要的鉴定C:回访和必要的跟踪D:分析和必要的验证
一个国家全部现行法律规范分类组合为不同的法律部门,由此形成的有机联系的统一整体称为()。A.法律体系B.立法体系C.法制体系D.法治体系
对于预算执行单位提出的预算调整事项,企业进行决策时,一般应当遵循的要求有( )。A.预算调整事项不能偏离企业发展战略B.正式下达的预算方案可以随时调整C