首页
财务会计
医药卫生
金融经济
考公考编
外语考试
学历提升
职称考试
建筑工程
IT考试
其他
登录
金融经济
甲买了3支签字笔,7支圆珠笔和1支铅笔共花了32元,乙买了4支同样的签字笔.l0支圆珠笔和1支铅笔共花了43元,如果同样的签字笔、圆珠笔、铅笔各买一支,共...
甲买了3支签字笔,7支圆珠笔和1支铅笔共花了32元,乙买了4支同样的签字笔.l0支圆珠笔和1支铅笔共花了43元,如果同样的签字笔、圆珠笔、铅笔各买一支,共...
admin
2020-12-24
6
问题
甲买了3支签字笔,7支圆珠笔和1支铅笔共花了32元,乙买了4支同样的签字笔.l0支圆珠笔和1支铅笔共花了43元,如果同样的签字笔、圆珠笔、铅笔各买一支,共用多少钱?()。
A.21元
B.17元
C.11元
D.10元
选项
答案
D
解析
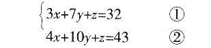
设签字笔、圆珠笔、铅笔的价格分别为x、y、z,得方程组:
本方程组为典型的不定方程组。可以利用特解思想,令系数较大的y=0,然后求解,得到x=11、z=-1,所以x+y+z=10,本题选D
转载请注明原文地址:https://ti.zuoweng.com/ti/zuP8KKKQ
相关试题推荐
登记账簿可以使用圆珠笔书写。 ()
登记账簿可以使用圆珠笔书写。()
甲买了3支签字笔,7支圆珠笔和1支铅笔共花了32元,乙买了4支同样的签字笔.l0支圆珠笔和1支铅笔共花了43元,如果同样的签字笔、圆珠笔、铅笔各买一支,共...
二战后第一个圣诞节来临之际,美国雷诺公司看准这个时机,从阿根廷引进了美国人从未见过的圆珠笔并很快形成了规模生产。当时每支圆珠笔的生产成本只有0.5美元,雷...
现金支票应用墨汁书写,单联式凭证应用蓝黑墨水钢笔书写,多联式套写凭证可用圆珠笔、双面复写纸套写,可以分张单写。()
健康信息记录表的填写可以用下列哪些笔?()A.钢笔B.圆珠笔C.水笔D.铅笔
随机试题
下列不属于施工图预算审查方法的是()。 A、因果分析法 B、对比审查法 C
企业的业务流程设计要遵循和满足()的基本要求。 A.价格 B.产品质量
肺动脉高压的主要病理生理变化为 A.有心室容量负荷增加 B.肺血流在肺毛细血
在其他工程技术管理的要求中,施工承包人组织国家行业或企业技术权威成立的,用于解决
接待常住客人,这类饭店要求常住客人先与酒店签订一项协议书或合同,写明居住的时间和
教育研究主体通过对有意义的教育教学事件、教育教学实践的描述与分析,发掘或揭示其背
宏观意义上的流动性主要包括三个层面,以下正确的三个是()。
极易泛油的中药有
我国的证券分析师行业自律组织——中国证券业协会证券分析师专业委员会(SAAC),
锚杆挡土墙在施工前应做的试验是()。A.锚杆抗拔力验证试验B.锚杆抗压试验C.注浆试验D.无侧限抗压强度试验