首页
财务会计
医药卫生
金融经济
考公考编
外语考试
学历提升
职称考试
建筑工程
IT考试
其他
登录
建筑工程
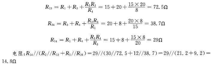
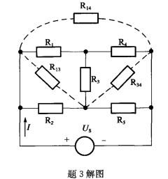
如图所示电路中,已知US = 12V,R1=15Ω,R2=30Ω,R3=20Ω,R4=8Ω,R5=12Ω,电流I为( )。 A. 2A B. 1. ...
如图所示电路中,已知US = 12V,R1=15Ω,R2=30Ω,R3=20Ω,R4=8Ω,R5=12Ω,电流I为( )。 A. 2A B. 1. ...
admin
2020-12-24
6
问题
如图所示电路中,已知US = 12V,R1=15Ω,R2=30Ω,R3=20Ω,R4=8Ω,R5=12Ω,电流I为( )。
A. 2A B. 1. 5A C. 1
选项
A D. 0. 81A
答案
D
解析
解 作Y-△变换,如图所示。根据Y-△变换,得:
答案:D
转载请注明原文地址:https://ti.zuoweng.com/ti/0hK8KKKQ
相关试题推荐
下列()曲线描述了导体的经济电流密度与最大负荷利用小时数的关系。
导体长期工作允许电流值的确定通常来自导体()性态。 (A)机械强度(B)发热与散热能力(C)老化周期(D)抗腐蚀能力
如题4-221所述,当电机停转后,仍采用能耗制动的方法将阻转矩Tc=0.9TN的重物以200r/min的稳定转速下放时,则电枢电路中串入的电阻为()。 ...
一台并励直流电动机,如果电源电压和负载转矩不变,若减小励磁电流,则稳定运行时()。 (A)电枢电流增加,转速上升(B)电枢电流减小,转速上升 (C)...
一台并励直流电动机,在电枢电路串电阻调速时,如果电源电压不变,励磁不变,负载转矩不变,则()。 (A)输入功率不变(B)输出功率不变(C)电磁功率不变(...
如题4-206所述,当电动机的转速为1000r/min时的电枢电流为()A。(A)52(B)59(C)65.6(D)68
断路器重合闸的无电流间隔时间为()s。 (A)O.1-0.3(B)0.3-0.5(C)O.5-0.7(D)I.0-3.0
断路器的额定关合电流是其额定开断电流的倍数为()。 (A)1.0(B)1.73(C)2.55(D)3.14
髙压断路器与隔离开关的作用是()。 (A)断路器切合空载电流,隔离开关切合短路电流 (B)渐铬器切合短路电流,镉离开关切合空载电琉 (C)断路器切合...
对于感应过电压,()的说法是错误的。 (A)感应过电压的极性与雷电流的极性相反 (B)感应过电压的电磁分量是由于先导通道中的电流所产生的磁场变化而引起...
随机试题
如图5-6所示结构中二杆的材料相同,横截面面积分别为A和2A,以下四种答案中该结
在下列质量控制的统计分析方法中,需要听取各方意见,集思广益,相互启发、相互补充的
患儿男,8岁。不自主眨眼、歪嘴1年,加重伴四肢舞动、喉中发声1个月就诊。眨眼在看
非吸气型泡沫喷头能采用()。
患者,男,68岁。肝硬化腹水,体质虚弱,生活不能自理。护士为患者做口腔护理时,应特别注意观察口腔有无A.糜烂B.烂苹果味C.臭鸡蛋味D.肝臭味E.腐臭味
为尽量发现病人,在制订筛选方法标准过程中,常采用A.提高方法的灵敏度B.提高方法的特异度C.降低假阳性率D.提高假阴性率E.使假阴性率与假阳性率接近
红细胞葡萄糖-6-磷酸脱氢酶缺陷症( )
患者,女,49岁,不易入睡,多梦易醒,心悸健忘,神疲食少,四肢倦怠,腹胀便溏,面色少华,舌淡苔薄,脉细无力。医生诊断为不寐证,其中医证候是A、气滞血瘀?B、肝
关于建设期利息计算公式的应用,下列说法正确的是()。A.按总贷款在建设期内均衡发放考虑B.Pj-1为第(j-1)年年初累计贷款本金和利息之和C.按贷款在年
下列各项中不属于社会政策的目标的是()。A:满足社会成员的各种基本需要B:解决社会问题C:保持社会稳定和提高社会生活质量D:提高政府的办事效率和廉政作风