首页
财务会计
医药卫生
金融经济
考公考编
外语考试
学历提升
职称考试
建筑工程
IT考试
其他
登录
考公考编
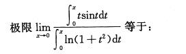
A.-1 B.0 C.1 D.2C
A.-1 B.0 C.1 D.2C
免费考试题库
2020-05-20
9
问题
选项
A.-1B.0C.1D.2
答案
C
解析
[img]/upload/tiku/131/602100_1.jpg[/img][img]/upload/tiku/131/602100_1_1.jpg[/img]
转载请注明原文地址:https://ti.zuoweng.com/ti/1SCMKKKQ
相关试题推荐
亡阴和亡阳之汗的主要区别在于 A汗出的原因B汗出的冷热C
青蒿、地骨皮、白薇除退虚热外,还均有的功效是 A解暑B生津C截疟
胃痛,喜温喜按,呕吐清涎,继而大便秘结,小便短赤,尿频,尿急、尿痛,证属 A
实证的表现不见 A大便秘结B神昏谵语C五心烦热
阴虚证的常见症状是 A五心烦热B神疲C乏力,眩晕
金荞麦与半枝莲均有的功效是 A祛痰B排脓C止血D散瘀
秦皮不具有的功效是 A清热解毒B清肝明目C止痢D祛风杀虫
虚证的病机是 A邪正俱盛B正气不足C正邪相待D邪
垂盆草的功效是 A清热解毒,凉血止痢 B散瘀解毒,利湿退黄 C清热解毒,排
下列属里证的表现是 A恶寒发热B寒热往来C恶风D
随机试题
根据2015年1月住房和城乡建设部《城镇污水排人排水管网许可管理办法》的规定,下
宏盛机械进出口公司(2102911013)从香港进口一批无接头电缆,该批商品属于
中风的病位在
建设项目财务盈利能力分析中,动态分析指标有()
工程咨询业是智力型服务业,属于第三产业,进行工程咨询应坚持()的原则。[2010
以下属于偿债能力指标的是()。
汉译英:“订单;包装”,正确的翻译为()。 A.order;packin
部门消防安全责任人的职责包括()。A.组织实施本部门的消防安全管理工作计划B.参加消防业务培训及灭火和应急疏散演练,了解消防知识,掌握灭火与疏散技能,会
某女,52岁。患痹证多年,症见肢体关节疼痛,入夜尤甚,关节屈伸不利。麻木拘挛。宜选用的成药是()A.舒筋活血片B.痛风定胶囊C.小活络丸D.活血止痛散
社会运行中的社会调节是依赖()来实现的。A:社会需要B:社会互动C:社会管理与控制D:社会变迁与进步