首页
财务会计
医药卫生
金融经济
考公考编
外语考试
学历提升
职称考试
建筑工程
IT考试
其他
登录
考公考编
1,3,3,9,12,36,42,( )。A.56 B.84 C.126 D.160
1,3,3,9,12,36,42,( )。A.56 B.84 C.126 D.160
admin
2020-12-24
11
问题
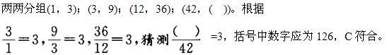
1,3,3,9,12,36,42,( )。
选项
A.56
B.84
C.126
D.160
答案
C
解析
转载请注明原文地址:https://ti.zuoweng.com/ti/2EqCKKKQ
相关试题推荐
根据我国《商标法》的规定,申请注册的商标的构成要素可以是(A.文字B.图形C.声音D.气味E.三维标志
我国《商标法》的立法宗旨包括()。A.加强商标管理B.维护商标信誉C.维护国际贸易秩序D.促使生产、经营者保证商品和服务质量E.促进社会主义市场
在商标民事、行政案件审理过程中,当事人依照本法第十三条规定主张权利的,()指定的人民法院根据审理案件的需要,可以对商标驰名情况作出认定。A.最高人民法院B
我国《商标法》规定一次注册的有效期为()年,权利人可以不间断续展使权利无限延长。A.10B.15C.20D.25
商标一经核准注册,该商标即成为受法律保护的注册商标。长济律师认为,注册商标的权利保护范围主要体现在两个方面:一是时间和地域的效力,二是()。A.注册商标的权利
商标形式审查为(),由于我国商标注册采用申请在先原则,一旦发生申请日的先后成为确定商标权的法律依据,商标注册的申请日以商标局收到申请书件的日期为准,商标...
商标实质审查(),商标实质审查是商标注册主管机关对商标注册申请是否合乎商标法的规定所进行的检查.资料检索.分析对比.调查研究并决定给予初步审定或驳回申请...
()是指在中国为相关公众广为知晓并享有较高声誉的商标。A.驰名商标B.普通商标C.服务商标D.组合商标
()是指国家运用法律手段制止、制裁商标侵权行为,以保护商标注册人的商标专用权。A.注册商标的权利B.保护商标专用权C.商标使用权D.组合商标权
()是商品的生产者、经营者在其生产、制造、加工、拣选或者经销的商品上或者服务的提供者在其提供的服务上采用的,用于区别商品或服务来源,具有显著特征的标志,...
随机试题
21、A.补虚药 B.开窍药 C.止泻药 D.止汗药 E.苦寒药
患者,男性,40岁。2天前有冷风吹面史。今晨起床后发现口角流涎来院就诊。体检:左
康复心理治疗的原则错误的是 A.良好的医患关系是心理治疗的基础 B.心理治疗
对药检室叙述不正确的是 A、负责药品质量的监督 B、对制剂室制剂检验
患者,女性,20岁,农民。晨起后剑突下阵发性钻顶样剧痛2小时,曾呕吐1次并吐出蛔
施工单项合同估算价在()万元人民币以上的工程项目必须进行招标。
按舒张压水平分,重度高血压是指舒张压
下列说法正确的是()。 (A)运行中改变普通变压器分接头的位置不会影响供电的连续性 (B)有载调压变压器不可以在带负荷的条件下切换分接头 (C)与普...
公路工程建筑安装工程费中,施工标准化与安全措施费包括()A、工程施工期间为满足安全生产所发生的费用B、施工期间为保证交通安全而设置的临时安全设施和标志、标牌的
拜金主义的实质是()。 (A)以赚取金钱为重大乐趣的人生观(B)以金钱作为判断是非的根本标准(C)极端吝啬的思想和行为(D)—夜暴富的观...