首页
财务会计
医药卫生
金融经济
考公考编
外语考试
学历提升
职称考试
建筑工程
IT考试
其他
登录
建筑工程
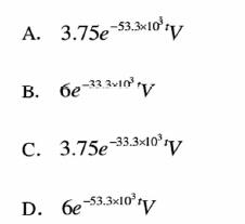
电路如图所示,当开关S闭合后,电容两端的电压uc为()。
电路如图所示,当开关S闭合后,电容两端的电压uc为()。
admin
2020-12-24
0
问题
电路如图所示,当开关S闭合后,电容两端的电压uc为()。
选项
答案
B
解析
转载请注明原文地址:https://ti.zuoweng.com/ti/3mb0KKKQ
相关试题推荐
—台他励直流电动机额定数据为UN=220V,IN=40A,nN=1000r/min,电枢回路电阻Ra=0.5Ω,在负载转矩不变的情况下,当电压下降到U=1...
一台并励直流电动机,如果电源电压和负载转矩不变,若减小励磁电流,则稳定运行时()。 (A)电枢电流增加,转速上升(B)电枢电流减小,转速上升 (C)...
一台并励直流电动机,在电枢电路串电阻调速时,如果电源电压不变,励磁不变,负载转矩不变,则()。 (A)输入功率不变(B)输出功率不变(C)电磁功率不变(...
如果他励直流发电机的转速上升20%,则空载时发电机的端电压升高()。 (A)20%(B)大于20%(C)小于20%(D)不变
电压互感器一次侧接高压熔断器的合适电压等级为()kV。 (A)35(B)110(C)220(D)500
电流互感器的容量通常表示为()。 (A)电流(B)电压(C)VA(D)阻抗
电压互感器与电流互感器一次侧接入电力系统的方式是()。 (A)串接、串接(B)并接、并接(C)串接、并接(D)并接、串接
电流互感器不完全星形接线时,测世电压的相别为()。 (A)a、b(B)b、c(C)a、c(D)b
互感器运行时,要求其二次侧()。 (A)电压互感器开路,电流互感器短路(B)电压互感器短路,电流互感器短路 (C)电压互感器短路,电流互感器开路(D)...
髙压断路器与隔离开关的作用是()。 (A)断路器切合空载电流,隔离开关切合短路电流 (B)渐铬器切合短路电流,镉离开关切合空载电琉 (C)断路器切合...
随机试题
免疫球蛋白的超变区在 A、Fab B、Fc C、绞链区 D、CH1区
乌梅丸的治法是 A、寒温并用,健脾止利 B、寒温并用,健脾除湿 C、清上温
根据《城乡规划法》的规定,建设项目选址规划管理的行政主体是()。
二、考题解析 【教学过程】 (一)导入新课 利用视频导入的形式
Word文档分栏对话框设置如图2所示,下列说法正确的是()。
文明职工的基本要求是()。A.模范遵守国家法律和各项纪律B.努力学习科学技术知识,在业务上精益求精C.顾客是上帝,对顾客应唯命是从D.对态度蛮横的顾客要
国际货物的海洋运输方式分为班轮运输和租船运输,其中主要的租船运输方式有()。[2011年真题]A:定期租船B:定量租船C:光船租船D:即时租船E:定程租
《货物和工程采购指南》规定的在特殊情况下的采购方式有()。A:直接签订合同B:中间金融机构贷款的采购C:自营工程D:基于性能的采购E:社区参与采购
在评定量表中,通过缩小分数的分布范围而使评定的信度和效度洚低的误差主要包括()。A.宽容误差B.逻辑误差C.趋中误差D.严格误差
下列项目中,应该通过“其他应付款”科目核算的是( )。A.以分期付款方式购入固定资产发生的应付款项B.应付融资租入固定资产的租金C.采用补偿贸易方式引