首页
财务会计
医药卫生
金融经济
考公考编
外语考试
学历提升
职称考试
建筑工程
IT考试
其他
登录
财务会计
C
C
天天题库
2019-12-17
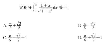
5
问题
选项
答案
C
解析
[img]/upload/tiku/233/2658579_1.jpg[/img]
转载请注明原文地址:https://ti.zuoweng.com/ti/3wHNKKKQ
相关试题推荐
细胞内催化脂肪酰基转移至胆固醇生成胆固醇酯的酶是
胆固醇在体内代谢的主要去路是
胆固醇是下列哪一种化合物的前体
由胆固醇沿生物转化生成的维生素是
合成胆固醇的直接原料为
参与1,4,5-磷酸肌醇(IP3)生成的磷脂酶是
下列哪一种物质是磷脂酶A2作用于磷脂酰丝氨酸的产物
磷酸甘油酯中,通常有不饱和脂肪酸与下列哪一个碳原子或基团连接
不属于甘油磷脂的化合物是
可作为磷脂骨架的化合物是
随机试题
患儿2岁,某母在牵位患儿双手做游戏时,患儿突然大哭,诉上肢疼痛,其左上肢屈曲,不
在锰的甲醛肟分光光度法中,一些金属离子会与甲醛肟形成络合物,干扰锰的测定,加入盐
回归分析的目的有( ) A.确定两个变量之间的变动关系 B.用因变量推算自
房地产周期循环的原因有()。
图6-27中,水箱侧壁开一圆形薄壁孔口,直径d=5cm,水面恒定,孔口中
某女,65岁。肩部酸痛、活动受限1年,常因劳累而加重,肩部喜温喜按,伴头晕乏力,
根据《机电产品国际招标投标实施办法》,下列关于重新评标专家的说法中,正确的是()
丙授权15岁的甲去以丙的名义购买手机,乙将二手翻新的手机以新手机的价格卖给了甲,同时,乙称购买此手机者,可获赠价值200元的皮包一个。甲将手机和皮包买回后...
下列属于外汇交易风险的是()。A:因债权到期而收回的外汇存入银行后所面临的汇率风险B:由于汇率波动而使跨国公司的未来收益存在极大的不确定性C:由于汇率波动而
会计人员陈某认为,会计工作只是记记账、算算账,与单位经营决策关系不大,没有必要要求会计人员参加管理。