首页
财务会计
医药卫生
金融经济
考公考编
外语考试
学历提升
职称考试
建筑工程
IT考试
其他
登录
医药卫生
单室模型静脉注射给药血药浓度时间关系式是
单室模型静脉注射给药血药浓度时间关系式是
admin
2020-12-24
9
问题
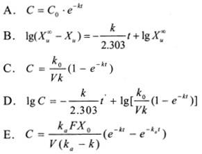
单室模型静脉注射给药血药浓度时间关系式是
选项
答案
A
解析
转载请注明原文地址:https://ti.zuoweng.com/ti/4JcaKKKQ
相关试题推荐
阈浓度是指A.临床常用的有效剂量B.药物能引起的最大效应C.引起50%最大效应的剂量D.引起等效反应的相对剂量E.引起药物效应的最低药物浓度
以下公式表示C=kaFX0(e-kt-e-kat)/V(ka-k)A.单室单剂量血管外给药C-t关系式B.单室单剂量静脉滴注给药C-t关系式C.单室单
按药理作用的关系分型的C型ADR是A.首剂反应B.致突变C.继发反应D.过敏反应E.副作用
苯氨基哌啶类,具有起效快,在体内迅速被酯酶水解,使得维持时间短的合成镇痛药物是
按药理作用的关系分型的C型ADR是A.副作用B.继发反应C.首剂效应D.特异质反应E.致畸、致癌、致突变等
当药物进入体循环以后,能迅速向体内个组织器官分布,并很快在血液与各组织脏器之间达到动态平衡的属于A.消除速度常数B.单隔室模型C.清除率D.半衰期E.表
不需要载体,药物从高浓度区向低浓度区扩散称为A.膜动转运B.胞饮和吞噬C.主动转运D.易化扩散E.被动扩散
引起等效反应的相对剂量或浓度是A.最小有效量B.效能C.效价强度D.治疗指数E.安全范围
根据血药浓度-时间曲线人为模拟的模型是A.清除率B.表观分布容积C.双室模型D.单室模型E.房室模型
机体或机体的某些消除器官在单位时间内清除掉相当于多少体积的流经血液中的药物是A.清除率B.表观分布容积C.双室模型D.单室模型E.房室模型
随机试题
断裂构造可分为()。 A、走向 B、节理 C、劈理 D、断层 E、倾角
韩某与施工企业订立了1年期的劳动合同,在合同履行过程中韩某不能胜任本职工作,企业
张云购买一套150平方米的自用普通住房。房款共70万元,由于张云目前积蓄不多,于
男性,58岁,耳鸣1年,右侧明显,右侧视力下降,查体,右侧突眼,球结膜充血,右颞
在房地产经纪机构品牌维护过程中,能提高客户价值感知的因素有( )。
背景资料: A公司中标长3km的天然气DN300mm钢质管道工程,设计压力0
根据《规划环境影响评价条例》,关于规划环境影响报告书审查效力的说法正确的有(
不得视为投标人相互串通投标的情形是()。A.不同投标人的投标文件由同一单位或者个人编制B.不同投标人委托同一单位或者个人办理投标事宜C.不同投标人的投标文件
企业财产保险基本险的保险责任不包括()。 A.火灾B.雷击C.爆炸D.洪水
审计人员可以采取下列()等方法向有关单位和个人获取审计证据。 A.观察B.询问C.重新计算D.盘点E.分析