首页
财务会计
医药卫生
金融经济
考公考编
外语考试
学历提升
职称考试
建筑工程
IT考试
其他
登录
职称考试
共用题干 李先生正在考虑投资三种共同基金。第一种是股票基金;第二种是长期政府债券与公司债券基金;第三种是收益率为8%的短期国库券货币市场基金。这些风险基...
共用题干 李先生正在考虑投资三种共同基金。第一种是股票基金;第二种是长期政府债券与公司债券基金;第三种是收益率为8%的短期国库券货币市场基金。这些风险基...
admin
2020-12-24
3
问题
共用题干
李先生正在考虑投资三种共同基金。第一种是股票基金;第二种是长期政府债券与公司债券基金;第三种是收益率为8%的短期国库券货币市场基金。这些风险基金的概率分布如表3-5所示。基金的收益率之间的相关系数为0.10。
根据案例回答14-22题。
选项
最优资产组合的期望收益率和标准差分别为()。
A:15.61%;16.54%
B:18.61%;23.48%
C:13.39%;13.92%
D:14.83%;15.24%
答案
A
解析
由E(r
S
)=20%,E(r
B
)=12%,σ
S
=30%,σ
B
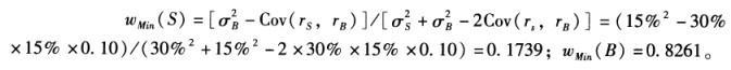
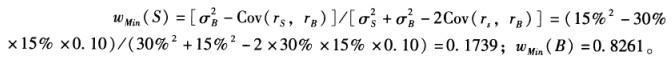
=15%,p=0.10,可得j最小差资产组合
由上题可知最小方差组合股票基金和债券基金的比例分别为17.39%和82.61%,所以E(r
Min
)=0.1739*20%+0.8261*12%=13.39%。标准差按照公式计算如下:
最优资产组合的每种资产的比例计算如下:
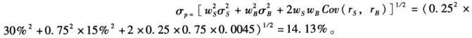
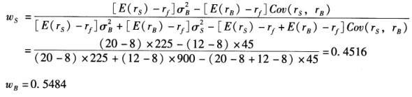
由上题可知最优风险资产组合中的股票和债券的比重分别为45.16%、54.84%,期望收益率和标准差计算如下:
根据公式计算最优资本配置线的报酬与波动性比率,可得:[E(r
P
)-r
f
]/σ
P
=(15.61%-8%)/16.54%=0.4601
因为投资者资产组合必在资本配置线上,资本配置线为:E(r
c
)=r
f
+[E(r
P
)-r
f
]/σ
P
*σ
c
=8%+0.4601σ
c
令E(r
c
)=14%,可以求出最优资产组合的标准差为13.04%。
资产组合的预期收益率为14%,是国库券利率和股票与债券的最优组合p的平均预期收益率。用X表示该资产组合的比例,在最优资本配置线上的任意资产组合的均值为:E(r
c
)=(1-X)r
f
+XE(r
P
)=r
f
+X[E(r
P
)-r
f
]=8%+X(15.61%-8%)=14%,可得:X=0.7884,1-X=0.2116即投资于国库券的比例。总资产组合中股票比例=0.7884*0.4516=0.3560;总资产组合中债券比例=0.7884*0.5484=0.4324。
设投资于股票基金的适当比例为w
s
,而w
B
=1-w
s
即投资于债券基金的比例:由14%=20%w
s
+12%*(1-w
s
)=12%+8%w
s
;可得:w
s
=0.25。即25%投资于股票,75%投资于债券。
资产组合的标准差为:
转载请注明原文地址:https://ti.zuoweng.com/ti/5rJQKKKQ
相关试题推荐
如果某客户持有债券到期,并兑付,他仍将面临的风险是()。A:利率风险B:信用风险C:购买力风险D:流动性风险
某债券面值100元,票面利率6%,每年付息一次,距下一付息日还有179天,如果每年计息按365天计算,则其利息应计为()。A:3.06元B:2.94元C:2
某投资者下达了购买某股票的指令,他的指令进入交易所主机后,撮合系统将按()的原则进行自动撮合。A:时间优先,价格优先B:价格优先,时间优先C:数量优先,价格
某投资者投资某股票,年初购买价格为12元,期间分红0.6元,年底以15元的价格卖出,则其收益率为()。A:30%B:25%C:20%D:5%
某客户想购买H股,H股是()。A:公司在香港注册,在香港上市的股票B:公司在内地注册,在香港上市的股票C:公司在海外任意国家或地区注册,在香港上市的股票D
某股票市场价格为10元,预期每股收益为0.5元,并保持10%的增长速度,则其市盈率为()。A:10B:30C:20D:18.18
理财规划师建议吴先生提早进行退休养老规划,因为退休养老规划是为了保证客户在将来有一个自立、尊严、高品质的退休生活,而从现在开始积极实施的理财方案。以下关于...
股票指数是反映证券市场整体情况的一个整体指标,是投资规划须参考的重要因素。上证180指数是()。A:按照180只成份股的股价算术平均工资值计算B:180只成份
根据风险未来结果的不确定性特征,风险可划分为()。A:自然风险与社会风险B:基本风险与特殊风险C:投机风险与纯粹风险D:系统风险与非系统风险
A公司为其职工设立了团体年金保险,团体年金保险具有福利性质,主要有团体延期缴清年金保险、预存管理年金保险和()。A:保证年金保险B:联合及生存者年金保险。C
随机试题
关于有限长薄屏障在点声源声场中引起的衰减,其计算公式为( )。
(31-32题共用备选答案) A.逍遥散 B.完带汤 C.易黄汤 D.小
组织学习力反映了组织作为一个整体,各种内外信息的认知与反应能力,因此影响组织学习
在存量房经纪业务中,“协助交易达成”环节的主要工作包括( )。
张某、李某和王某是某有限责任公司的股东,以下说法正确的是:
财政分配的主要对象是()。
“由用药顺序确定最可疑致病药物一有意识地停用最可疑或引起相互作用的药物一根据停药后症状的变化、确诊”,即可A.确定致病药物B.流行病学的调查C.追溯用药史;询问
分部工程质量验收时,应对主要使用功能的()进行见证取样试验或抽样检测。A.地基基础分部工程B.主体结构分部工程C.设备安装分部工程D.节能环保分部工
在生产中,由于机械转动、空气排放、工具撞击与摩擦所产生的噪声,称为生产性噪声或工业噪声。控制生产性噪声产生的措施不包括()A:消除或降低噪声、振动源B:锺击成
按评估对象进行划分,企业价值包括( )。A.整体企业权益价值B.股东全部权益价值C.股东部分权益价值D.股东全部债务价值E.股东部分债务价值