首页
财务会计
医药卫生
金融经济
考公考编
外语考试
学历提升
职称考试
建筑工程
IT考试
其他
登录
金融经济
9、
9、
昕玥
2020-05-20
15
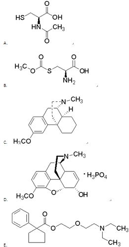
问题
9、
选项
<4>、喷托维林
答案
E
解析
本题考察镇咳平喘药的结构,注意掌握。D是磷酸可待因。
转载请注明原文地址:https://ti.zuoweng.com/ti/64opKKKQ
相关试题推荐
由于生产的发展和对自然资源开发利用的需要,在森林群落中测定生产力的通用方法包括(
陆生植被及植物调查的调查方法主要有( )。 A.样方法 B.样线
以下应列为生态敏感保护目标的有( )。[2008年真题] A.水田
在生态敏感保护目标识别中,应作为重要保护动植物的有( )。[2007年真题]
制定植被样方调查方案时,应根据不同植被类型,合理确定( )。[2010年真题]
计算一个植物种在群落中的重要值的参数有( )。[2008年真题] A.相
利用遥感资料可给出的信息有( )。[2010年真题] A.植被类型及其分
鱼类资源实地调查可采用的方法有( )。[2012年真题] A.钩钓
在测定绿色植物的总生产量时,需要用到的参数有( )。[2013年真题] A
生态现状调查中,涉及需特殊保护的生态敏感区时,应说明其( )。[2016年真题
随机试题
从一个人行为的一个方面可看出他的个性,这是个性( )的表现。 A、独特性
X线管套的功能不包括 A.美观 B.散热 C.防辐射 D.防电击 E、
关于标准差,错误的一项是 A、反映全部观察值的离散程度 B、最适用于对称分
甲公司是一家五星级酒店,为解决蒸汽不足的问题,从乙公司购进一台蒸发量为4t/h
患者,男,74岁,右侧腹股沟区可复性肿块8年。查体:患者直立时,在腹股沟内侧端、
下列关于行政决策的表述,不正确的是()。A.决策过程中最核心、最关键的一步是评估方案,作出决策B.提高行政效率是行政决策科学化的重要前提C.行政决策是履
(狭义)教育
(2013年)某建筑物钢筋混凝土基础的混凝土设计强度等级为C60,使用硅酸盐水泥的强度等级为52.5,现场混凝土强度标准为5MPa,则改基础混凝土的施工配...
下列关于我国司法机关的理解正确的是:()A.我国的司法机关仅仅指法律适用机关——人民法院B.按照我国的宪法和法律的规定我国司法机关是指人民法院和人民检察院
关于进入国际市场模式的说法,正确的是()。A.贸易进入模式包括直接出口和间接出口两种方式B.契约进入模式下企业输出的主要是技术、技能和工艺等无形资产C.在