首页
财务会计
医药卫生
金融经济
考公考编
外语考试
学历提升
职称考试
建筑工程
IT考试
其他
登录
建筑工程
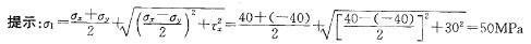
受力体一点处的应力状态如图所示,该点的最大主应力为: A. 70MPa B. 10MPa C. 40MPa D. 50MPa
受力体一点处的应力状态如图所示,该点的最大主应力为: A. 70MPa B. 10MPa C. 40MPa D. 50MPa
admin
2020-12-24
16
问题
受力体一点处的应力状态如图所示,该点的最大主应力为:
A. 70MPa B. 10MPa
C. 40MPa D. 50MPa
选项
答案
D
解析
转载请注明原文地址:https://ti.zuoweng.com/ti/7AKCKKKQ
相关试题推荐
地形图是按一定比例,用规定的符号表示下列哪一项的正投影图?( )A.地物的平面位置B.地物的平面位置和高程C.地貌高程位置D.地面的高低状态
天然应力场下边坡形成后,边坡面附近的主应力迹线明显偏移,最小主应力方向与坡面关系表现为( )。A.近于水平B.近于正交C.近于斜交D.无规律
以下关于原位测试的表述不正确的是( )。A.扁铲侧胀试验适用于碎石土、极软岩、软岩B.载荷试验用于测定承载板下应力主要影响范围内的承载力和变形模量C.静力
某饱和黏土层厚5m,其上为砂层,底部为不透水岩层,在荷载作用下黏土层中的附加应力稳步呈倒梯形, 已知荷载作用半年后土层中的孔隙水压力呈三角形分布(阴...
岩石试样单向压缩试验应力-应变曲线的3个阶段(如图)OA、AB、BC分别是:( ) A.弹性阶段、压密阶段、塑性阶段B.弹性阶段、弹塑性阶段、塑性阶段C
关于钢筋混凝土梁,下列叙述中不正确的是:( )A.少筋梁受弯时,钢筋应力过早出现屈服点而引起梁的少筋破坏,因此不安全B.钢筋和混凝土之间的粘结力随混凝土的抗
如图所示的拱结构,其超静定次数为( )。 A.1B.2C.3D.4
已知复合地基中桩的面积置换率为0.15,桩土应力比为5,基础底面压力为p(kPa),其中桩间土的应力为( )。A.3.13pB.0.63pC.0.47p
对于一个钢筋混凝土大偏心受压短柱,当作用的弯矩给定时,轴向受压荷载的增加对它的安全状态产生的影响是( )A.趋于安全B.趋于不安全C.保持不变D.影响规
岩基内应力计算和岩基的沉降计算一般采用下面哪一种理论? A.弹性理论B.塑性理论C.弹塑性理论D.弹塑粘性理论
随机试题
下列组合正确的是 A.胸部后前正位-根据被照体与摄影床位置关系命名 B.小儿
易腐烂的中药饮片有 A鲜生地B鲜生姜C鲜芦根
关于雌激素的产生,下列哪项错误
某仅能节约人工的自动化设备投资56万元,每年可以节约人工费用8万元(该值假设发生
“家电下乡”产品销售额增量最多的月份增加了几个亿?
下列费用不属于证券交易佣金的是()。A、证券公司经纪佣金B、证券交易所手续费C、证券托管费D、证券交易所交易监管费
从所给的四个选项中,选择最合适的一个填入问号处,使之呈现一定的规律性: A.如图B.如上图C.如上图示D.如图所示
关于新增无形资产价值的确定与计价,下列说法中正确的是()。A.企业接受捐赠的无形资产,按开发中的实际支出计价B.专利权转让价格按成本估计进行C.自创专有技
《城市居民最低生活保障条例》规定,城市居民采取虚报、瞒报、伪造等手段.骗取享受城市居民最低生活保障待遇的,由()给予批评、教育或者警告,追回其冒领的城市居...
工薪劳动者在年老丧失劳动能力后均可享受国家法定的社会保险待遇,但国家不向劳动者本人征收任何养老社会保险费的是()。A:国家统筹养老保险模式B:投保资助养老保险